참조문헌
- J.A. Gaj, in Comprehensive Semiconductor Science and Technology, 2011
- Weak localization and weak antilocalization in topological insulators, Hai-Zhou Lu, Shun-Qing Shen
- 231123
1. Introduction
잘 알려져 있듯이, Topological Insulator는 gapped band insulator임과 동시에 band의 boundary를 둘러싸며 위상학적으로 보호되는 gapless mode가 공존하는 insulator이다. 이 3D TI의 surface states는 2차원 gapless Dirac cone의 홀수 차항으로 구성되며, 이는 momentum space에서 helical spin structure를 가지고, 이는 전자가 Fermi surface 주변을 단열적으로 움직일 때 $\pi$ Berry phase를 발생시키게 끔 한다. $\pi$ Berry phase는 backscattering을 방지하며, 더 나아가 surface electron의 delocalization을 유발한다. 이러한 특성들 때문에, TI는 이러한 수송 현상에 있어 큰 관심을 끌고 있다.
실험적으로, 전자의 delocalization은 weak anti-localization이라 불리는 현상으로 증명됐다. 이 효과는 $\pi$ Berry phase로부터 나타나는 현상으로, scattering trajectory에 의해 형성되는 time-reversed loops 사이의 destructive quantum interference를 유발한다. 이 destructive interference는 전자의 backscattering을 억제하며, 이에 conductivity가 온도가 낮아짐에 따라 상승한다. 왜냐하면 낮은 온도에서는 decoherence mechanism이 억제되기 때문이다. 하지만 자기장이 interference를, 더 나아가 증가된 conductivity를 파괴할 수 있으며, 그러므로 weak anti-localization의 시그니쳐는 negative magnetoconductivity이다. 이는 수많은 TI 샘플에서 관측됐다.
다른 말로 localized states를 가질 수 없는, 위상적으로 보호되는 surface states를 가지는게 TI라 할 수 있으며, 이 점이 다른 일반적인 금속과 비교하여 TI가 가질 수 있는 장점으로 설명된다. 하지만, negative magnetoconductivity와 함께 나타날 수 있는 'conductivity의 metallic enhancement'는 낮은 온도에서 잘 관측되지 않았다. 대신에, 대부분의 실험에서, 온도가 낮아짐에 따라 conductivity가 logarithmic suppression되는 것이 나타나며, 이는 weak localization의 현상으로, 일반적인 disordered metals에서 Anderson localization의 precursor(TI의 transport paradox라 알려짐)로서 나타나는 것이 일반적으로 예측된다.
However, the metallic enhancement in conductivity expected to appear along with the negative magnetoconductivity is not observed at low temperatures. Instead, in most experiments, a logarithmic suppression of the conductivity with decreasing temperature is observed,22–27 indicating a behavior of the weak localization, which was supposed to occur in ordinary disordered metals as a precursor of the Anderson localization,28, 29 which was known as a transport paradox in topological insulators.
여기서 우리는 이론적 이해 Here we review our recent efforts30–33 on the theoretical understanding to the weak localization and weak anti-localization effects in the transport experiments in topological insulators. In Sec. 2, we give an introduction to the quantum diffusion regime, where the weak (anti-)localization happens. Then the experiments of weak anti-localization in topological insulators are reviewed. In Sec. 3, we discuss the crossover between weak antilocalization and weak localization and the Berry phase argument. In Sec. 4, we show why the bulk states in topological insulator can have weak localization. In Sec. 5, we compare the Dirac fermions with conventional electrons, on their localization behaviors in the presence of three kinds of disorder scattering. In Sec. 6, we will explain how the contradictory observations in the temperature and magnetic field dependence of the conductivity of topological insulators can be understood, by including both the quantum interference and electron-electron interactions for the disordered Dirac fermions.
2. Weak Localization and Anti-Localization
Weak Localization(WL)과 Weak Anti-Localization(WAL)은 disordered electron systm 내에서 transport 할 때 발생하는 quantum interference effects이다. WL effect는 반도체의 저항이 증가하는 현상이며, WAL effect는 반도체의 저항이 낮아지는 현상이다. WAL effect는 $\pi$ Berry phase에 의해 전자의 delocalization이 발생하는 현상이다. $\pi$ Berry phase는 destructive quantum interference를 유도하는데, 이는 전자의 backscattering을 방지하며, 이로 인해 conductivity가 온도가 낮아짐에 따라 감소하게 된다. (왜냐하면 decoherence 메커니즘이 낮은 온도에서는 억제되기 때문).
자기장은 interference를 파괴함에 따라 이 현상에 의해 야기되는 conductivity 역시 감소하는데, WAL은 NMR의 특징이며, 여러 TI샘플에서 발견됐다.
Localization이 되지 않는 위상학적으로 보호되는 surface state는 topological insulator의 또 다른 정의이다. 그리고 이 점은 일반적인 금속과 비교하여 TI가 가지는 강점 중 하나이다.
하지만, negative MR과 함께 나타날 것으로 예상되는 conductivity의 상승은 낮은 온도에서 나타나지 않는다. 대신에, 대부분의 실험에서는 온도가 낮아짐에 따라 conductivity의 logarithmic suppression이 나타난다. 이는 WL effect의 효과이며, 일반적인 disordered metal에서 Anderson localiztion(which was known as a transport paradox in TI)의 precursr로서 나타난다.
2.1. Quantum Diffusion

고체 내에서 전자의 수송(transport) 다양한 characteristic lengths로 분류할 수 있다.
- The mean free path $l$: 전자가 static scattering center에 의해 elastic scattering되기 전 까지, 운동량이 변하지 않은채 이동하는 평균적인 거리
- The phase coherence lenth $l_\phi$: 전자가 phase coherence를 유지한채 이동하는 평균적인 거리. $l_\phi$는 일반적으로 electron-phonon coupling에 의한 nelastic scattering과 다른 전자들과의 interaction을 통해 결정된다.
- Sample size $L$
만약 $ l \gg L $ 인 경우, 전자는 scattering 없이 샘플을 관통한다. 이를 ballistic tansport regime이라 한다. 반대로 $ l \ll L $인 경우에는, 전자는 반복적인 scattering 이벤트를 겪게되고, sample을 diffuse 하게된다. 이를 diffusive transport regime이라 한다. 또한 diffusive regime 에서 $l_\phi \leq l $인 경우, 우리는 이를 semiclassical diffusion이라 부르며, 여기서는 Drude conductivity로 기술한다. 만약 $ l_\phi \gg l $인 경우, 전자는 여러번 scattering 된 이후에도 phase coherence를 유지하며, 이러한 영역을 quantum diffusive regime 이라 한다. 이 영역에서는, time-reverse scattering loops 사이의 quantum interference가 conductivity에 영향을 끼친다. WL effect, WAL effect는 quantum diffusive regime 속 conductivity에서 나타나는 영향이다.
2.2. Signatures of WL effect, WAL effect

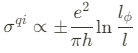
2차원에서, quantum interference에 의한 conductivity correction은 아래와 같이 $\l_\phi$, $\l$에 대한 logarithmic function으로 나타난다.

여기서 $\cfrac{e^2}{h}$는 conductance quantum이다. 부호 중 $-$는 weak localization을, $+$는 weak anti-localization틀 의미한다. 위에서 봤듯이 $l$은 elastic scattering과 연관되므로, 온도에 무관하다. 반면에 $\l_\phi$는 inelastic scattering에 의해 결정되므로 온도에 대한 함수이다. 일반적으로 $l_\phi \propto T^{-p/2}$를 만족하며, 여기서 p는 양수이고 dephasing 메커니즘과 dimension과 연관된다.
온도를 낮춤으로써, $l_\phi$는 더 길어지고, $\sigma^{qi}$ 값은 더 커질 것이다. 이는 Fig.2와 같이 온도에 따른 conductance dependence로 알 수 있다. $\sigma^{qi}$가 time reversed scattering loops 사이의 quantum interference에서 온 것을 기억하자. 이 경우, 자기장을 인가함으로써 time-reversal smmetry를 깨게 되고 $\sigma^{qi}$는 사라지게 되며, magnetoresistance는 증가하게 된다. (Fig.2.(a)
2.3. Weak anti-localization in topological insulators
그래핀과 CNT에 대한 연구가 진행되면서, 2차원 gapless Dirac cone이 weak anti-localization을 가질 수도 있음을 나타냈다. 3차원 TI의 surface state 또한 2차원 gapless Dirac fermion이다. WAL effect는 Bi2Se3과 Bi2Te3가 TI로서 명명된 이후 직후에 발견됐는데, WAL이 더 쉽게 발견된것에는 이유가 있다. 샘플의 좋지 않은 퀄리티 때문에, 물질의 MFP가 $10 nm$ 정도로 짧았기 때문이다. 하지만, phase coherence length는 $100 nm$에서 액체 헬륨보다 낮은 온도에서는 $1 \mu m$까지 도달할 수 있다. 다시 말해, 이러한 물질들은 낮은 온도에서 quantum diffusion regime에 있으면서, WL과 WAL이 억제되는 환경에 있게 된다.
실험에서, magnetoconductivity는 일반적인 전자에 대한 Hikami-Larkin-Nagaoga formula를 통해 피팅 됐으며, 두개의 피팅 파라미터 $l_\phi$(phase coherence length), $\alpha$(prefactor of the order 1)를 사용했다. $\alpha$는 WL에서는 양수를 가지며, WAL에서는 음수를 가진다. 실험에서는, $\alpha$는 $-0.4$~$-1.1$의 넓은 영역을 포함하며, 이는 관측된 WAL이 Fermi level에서 bulk, 그리고 surface bands로부터의 다양한 carrier channel이 공존함에도 불구하고, 한개, 또는 두개의 surface bands를 고려함으로써 해석될 수 있음을 암시한다. 심지어, 날렵한 WAL cusp는 TI의 표면만 magnetic impurities로 도핑해도 완전히 억제시킬 수 있다.
3. Weak Anti-Localization and Localization Crossover
3.1. Theoretical formalism

2차원에서의 Dirac Hamiltonian은 아래와 같다.

여기서 $\gamma = v\hbar$, $\vec{sigma}$는 Pauli matrices, $\vec{k}$는 wave vector이다. $\hat{\mathcal{H}}$는 conduction band 1개와 valence band 1개가 gap $\Delta$를 두고 떨어져 있는 경우를 설명한다. 여기서 우리는 위 그림처럼 Fermi energy $E_F$가 conduction band를 가로지르는 것을 가정한다.
$\hat{\mathcal{H}}$의 conduction band에서의 spinor wavee function은 아래와 같이 주어진다.

위에서 기술한 Hamiltonian 모델은 다양한 경우에 사용할 수 있다.
- The gapless surface electrons with $\Delta =0$.
- The massive surface states for a magnetically doped topological insulator with $Delta \ne 0 $.
- The surface electrons in topological insulator thin films, where a finite gap is opned due to the finite size effect.
- The bulk electrons in topological insulator thin films where the mass term is the band gap between the conduction and valence band.
Berry phase는 adiabatic cyclic process에서 축적되는 geometric phase이다. Fig.1.(c)에서의 Time-reversed scattering loops는 Fermi surface위의 전자를 한바퀴 움직이는 것과 같다고 볼 수 있다. 결과적으로, electrons picks up a Berry phase.

Berry phase는 2차원 Dirac fermion에서 WAL에 대한 설명을 줄 수 있다. massless limit에서는, Berry phase $phi_b$는 $\pi$값을 가지며, distructive quantum interference를 야기하여 back scattering을 억제함과 동시에 conductivity를 증가시킨다. 다시 말해 WAL을 야기한다. large-mass limit에서는 $\phi_b$는 0의 값을 가지며, quantum interference가 distructive에서 constructive로 바뀐다. 결과적으로 WAL에서 WL로의 전환이 발생한다. (Berry phase가 $\pi$에서 $2\pi$ 또는 0으로 바뀌는 것!).
WAL-WL crossover는 magnetoconductivity에 대한 Lu-Shi-Shen formula를 통해 묘사할 수 있다.

위 식에서 $\Psi$는 digamma function이며, $l^2_B \equiv \hbar/(4e|B|)$는 magnetic length, $1/ㅣ^2_{\phi i} \equiv 1/l^2_{\phi} + 1/ㅣ^2_{i} $ 이다. 이 공식은 두개의 항을 갖고있다. 하나는 WL, 또 다른 하나는 WAL이며 두개의 factor $\alpha_0$, $\alpha_1$으로 나눌 수 있다. 때때로, .____________ 그러므로 Lu-Shi-Shen formula는 두개의 fitting parameter $\Delta/2E_F$, 그리고 $l_\phi$만 갖는다.
3.2. Experimental Verification
WAL-WL crossover는 많은 실험물리학자들에 의해 발견 됐는데, 여기서 gap은 주로 두가지 접근법에 의해 열렸다.
(1). Magnetic doped surface states.
Topollogical insulator $Bi_2 Se_3$과 $Bi_2 Te_3$의 surface states TRS 때문에 gapless 상태를 갖는다. Magnetic impurity 도핑을 할 경우, TRS가 깨지게 되며, gap을 열 수 있게 된다. 이 도핑된 물질에서 온도를 Curie temp 이하로 낮출 경우, WAL에서 WL로의 crossover가 발견됐다. 이는 강자성에 의한 gap opening과 crossover 사이에 관계가 있음을 나타낸다.
(2). The finite-size effect of the surface states.
매우 얇은 박막의 TI에서는, top surface와 bottom surface 각각에서의 gapless Dirac cone이 hybridized되어 finite-size gap을 열 수 있으며, 이를 통해 two gapless Diraccone이 massive Dirac cones로 변할 수 있다. 매우 얇은 박막의 경우, finite-size gap은 고정되어있다. 하지만 crossover는 $\Delta/E_F$에 의존하며 $E_F$는 gate voltage에 의해 변할 수 있다. 그러므로, WAL-WL crossover를 gate voltage에 의한 함수로 피팅하여 이를 볼 수 있다.
4. Weak Localization of Bulk States
대부분의 TI 물질에서, Fermi energy는 보통 surface states 뿐만 아니라 bulk states에도 걸쳐져있다. 이 bulk states의 localization 경향은 논란이 많은 토픽이다. 3D TI를 가장 단순하게 묘사하는 모델은 modified Dirac model이며 아래와 같다.


TI 박막에서는, 3D band structure가 2D subbands로 쪼개진다. 가장 아래에 있는 2D bulk subbands를 고려하는 가장 쉬운 방법은 $\rangle k_z \langle = 0$으로 보냄과 동시에 $\rangle k_z^2 \langle = \cfrac{pi}{d}^2$ 으로 두는 것이다. (여기서 d는 film의 두께이다.) $C+D(\pi/d)^2=0$, 그리고 $M/2 \equiv m- B(\pi/d)^2$라 정의하면, lowest 2D bulk subbands의 Hamiltonian은 아래와 같이 쓸 수 있다.

위 식에서 $\tau_z = \pm 1 $은 block index이다. 위 식은 modified 2D Diral model이다. Fig.4.(c)를 보면, band edge에서는 질량 M이 Fermi energy에 비교하여 큰 것을 알 수 있다. 결과적으로, 이전 섹션에서 살펴 본 Berry phase argument에 따르면, bulk states에서는 WL effect이 발생함을 기대할 수 있다. 이는 강력한 SOC 존재하는 시스템에서 WAL effect가 발생하는 것과는 완전히 다른 결과이다. 하지만 이 주장은 곧 다른 이론에서도 동일하게 나타남이 알려졌다. WAL에서 WL로의 crossover는 TI의 Fermi energy나 gate voltage를 튜닝함으로써 실현된다. Fermi level이 bulk gap에서 valence bands, 또는 conduction bands로 이동할 때, bulk electron과 surface elecron 사이에서 결쟁이 발생한다. 이 경우, WL effect가 나타날 가능성이 존재한다.
5. Comparison with Conventional Electrons
| Scalar scattering | Magnetic scattering | Spin-orbit scattering | |
| Conventional electron | |||
| Massless Dirac fermion | |||
| Dirac fermion in large-mass limit |
기존의 2D electron system에서는 WL effect, WAL effect 모두가 관측됐다.
5. COMPARISON WITH CONVENTIONAL ELECTRONS
6. INTERACTION-INDUCED LOCALIZATION OF SURFACE ELECTRONS
7. SUMMARY
'Topological Insulator' 카테고리의 다른 글
| Magnetoresistance in Topological Insulator (0) | 2024.05.30 |
|---|---|
| Dirac Materials (0) | 2024.02.19 |
| Spin Momentum Locking (SML) (0) | 2024.02.14 |
| MXene (0) | 2024.01.18 |
| (작성중) 위상부도체 (Topological insulator) (0) | 2021.05.24 |
댓글