II. TERMINOLOGY
포텐셜에 속박되지 않은 spin1/2 입자가 magnetic field �→에 놓여있을때, Hamiltonian은 아래와 같다

여기서 vector potential �→는 gauge field 이며, 이 �→의 curvature가 바로 magnetic field �→이다.
Einstein notation을 이용한 ��의 의 정의는 다음과 같다.

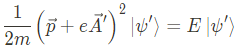
이제 �→ gauge의 system에서 wavefunction \ket�를 생각해보자. 이때 gauge transformation을 아래와 같이 진행하면

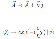
�→′ gauge에서는 wavefunction이 \ket�′이 될것이다. 또한 local gauge invariance를 통해 우리는 gague transformation �→→�→′을 진행하면 wavefunction이 \ket�→\ket�′=�\ket�과 같이 변화할 때, U가 다음의 값을 가질 것으로 추측할 수 있다.

이를 종합하여 이번에는 primed quantity에 대한 Schrodinger equation을 쓰면, (Zeeman term은 잠깐 무시하자)


이때 �를 아래와 같이 설정하면

위의 Schrodinger equation은 아래와 같이 변한다.

그러므로, 아래의 transformation의 경우에 대해 system은 invariant하다고 할 수 있다.

일반적으로, it is invariant to unitary transformations.
역사적으로 볼때, magnetic vector potential은 단순히 magnetic field를 설명하기 위한 수학적 도구로 여겨져왔다. since only ~ B represents the gauge invariant quantity.
하지만, �→자체도 phase로서 나타나질 수 있다. 이를 Aharonov-Bohm phase라 하며, 아래와 같이 나타낸다. 여기서 �는 real space에서의 closed loop이다.


이 값은 유한하며, real space의 � loop 안에 magnetic flux가 지나가는 경우 실험적으로도 측정이 가능하다. 하지만 � 자체는 magnetic field가 사라지는 영역에서만 배타적으로 존재한다. 위에서 우리는 gauge field라는 아이디어에 대해 배웠으며, 그것의 curvature, phase, 그리고 gauge transformation의 아이디어등도 함께 봤다.
This paper looks at generalizing the magnetic vector potential for novel electronic and spintronic transport. 예를 들어, 다음 섹션에서는 특별한 gauge field인 Berry gauge field에 대해 볼 것이며, 이 Berry gauge field의 curvature에 대해서도 다룰 것이다.실제 자기장 �→가 물리적으로 observable한 효과를 만들어내는 것처럼, (Lorentza force, electronic phasE) Berry curvature 또한 비슷한 효과를 만들어내며 이 역시도 다음 섹션에서 확인할 것이다.
'책 정리 > Gauge Fields in Spintronics, T. Fujuta' 카테고리의 다른 글
| II. SPIN-1/2 SYSTEMS IN THE PRESENCE OF SPATIALLY VARYING MAGNETIC FIELDTEXTURES (0) | 2023.12.06 |
|---|---|
| III. REAL SPACE GAUGE FIELDS IN GRAPHENE (0) | 2023.12.06 |
| IV. SPIN-ORBIT COUPLING SYSTEMS: REALSPACE ANALYSIS (0) | 2023.12.06 |
| V. SPIN-ORBIT COUPLING SYSTEMS: k-SPACE ANALYSIS (0) | 2023.12.06 |
| VI. TIME-DEPENDENT MAGNETIC SYSTEMS (0) | 2023.12.06 |
댓글