1984년, Berry는 양자 states의 adiabatic cyclic evoltion 중에, 일반적인 dynamic phase에 더해 geometric phase가 필수적으로 동반되어야 한다는 것을 보였다. 이를 Berry phase라 하며, 이 특별한 phase는 실제로 더 일찍이 1956년에 Pancharatnam에 의해 발견되었다. Pancharatnam은 편광된 빛이 여러개의 polarizer를 지나쳤을때 initial polarization과 final polarization이 같은 경우에도 변하는 물리량 phase가 얻어 질 수 있음을 예측하고 실험적으로 증명했다. (따라서 종종 Berry phase는 Pancharatnam-Berry phase라고도 불린다). Berrry phase는 사실상 topological 하며, quantum state가 evolve 하는 parameter space속에서, 해당 space 에 존재하는 closed surface를 통과하여 지나가는 Berry curvature의 flux로서 정의된다.
Berry curvature의 canonical example은 spin이 불균일한 magnetic field texture $\vec{B}(\vec{r})$를 공간적으로 adiabatic transport할 때 일어난다. 이 경우, state는 $\vec{B}$-space에서 evolve하며, 해당 space의 Berry curvature를 갖게된다.
만약 spatial magnetic field의 정확한 configuration $\vec{B}(\vec{r})$을 안다면, 우리는 $\vec{r}$-space 에서의 Berry curvature 또한 정의할 수 있다. 아래서, 우리는 공간적으로 불균일한 magnetic field system 속에서 Berry phase와 Berry curvature를 구하는 3가지의 이론적 접근법을 소개한다.
A. System
공간적으로 불균일한 자기장 $\vec{B}(\vec{r})$이 존재하는 system에서의 free spin 1/2 particle의 Hamiltonian은 아래와 같이 주어진다.

B. Berry phase: Theoretical approaches
1. Berry (1984)
이 접근법은 Berry의 원문 페이퍼를 최대한 따른 방법이다. 우리는 공간적으로 불균일한 magnetic field $\vec{B}(\vec{r})$에서 closed loop을 따르는, adiabatic spin evolution에 대해 알아보고자 한다. 이때 Hamiltonian은 아래와 같다.

$\vec{B}$-space에서 closed loop C는 아래와 Fig1.(a)로 나타낼 수 있다.

그림에서 보는 것 처럼, $\vec{B}$-space 속을 움직이는 spin state는 starting point(t=0)과 ending point(t=T)가 같으며 adiabatic evolution이라는 것은 closed loop C 위를 를 움직이는 속도가 매우 작아 $ T \rightarrow \infity $가 되는 경우이다. 이는 즉, system system이 initial eigenstate $|\psi_\mathrm{i}(\vec{B}(0))\rangle\;\;(i= \{\uparrow,\downarrow\}$에 에 있을 때, 시간이 흘러 t>0 일때 state $|\psi_\mathrm{i}(\vec{B}(t))\rangle$에 위치해 있다는 뜻이다.
특히, 시간 t에서의 state는 phase 항이 추가된 상태로 쓸 수 있는데, 이는 아래와 같다.

여기서 첫번째 factor는 usual dynamic factor이다. Berry는 closed loop을 따르는 adiabatic transport는 추가적인 non-zero phase $\gamma_{i}$를 반드시 수반한다는 것에 주목했다. $\psi(t)\rangle$은 반드시 Schrodinger equation을 만족해야 하므로, 위의 식을 통해 우리는 다음을 구할 수 있다.

위의 $\psi(t)\rangle$에 대한 식을 양변에 대입하여 풀면


non-zero phase factor를 각 양변에 나눠 준 후에 이항하여 정리하면 아래와 같이 나타낼 수 있다.

$\gamma$ 항을 이항한 후에 양변에 bra vector를 곱하면,

그러므로, magnetic field $\vec{B}$-space 내의 closed loop C를 통과하는 state에서 얻어지는 well-defined phase는 아래와 같다. 여기서 $\gamma_{i}$가 바로 Berry phase이다.

이 식은 아래의 Aharonov-Bohm phase와 비슷한 것을 눈치 챘을 것이다.

따라서, 우리는 $\vec{B}$-space에서의 Berry gauge field를 아래와 같이 정의할 수 있다. (여기서 위첨자 ad.는 adiabatic origin을 나타낸다)

또한 Berry phase 식에서 Stoke's theorem을 이용하면, 아래와 같이 surface integral로 식을 다시 쓸 수 있다.

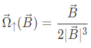
이 식에서는 Berry curvature를 아래와 같이 정의할 수 있다.

물리적으로, $\vec{\Omega}_{i}(\vec{B})$는 $\vec{B}$-space에서의 effective magnetic field라 볼 수 있다.
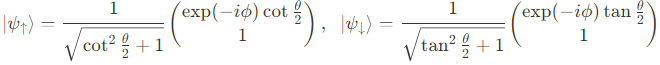
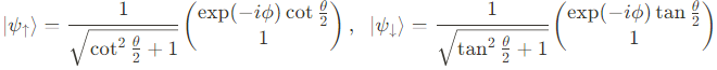
놀랍게도, $\vec{\Omega}_{i}(\vec{B})$는 Fig1.(b)처럼 Dirac magnetic monopole의 형태를 띄고 있는데, 여기서 이를 좀더 보고자 한다. 위에서 정의한, 공간적으로 불균일한 자기장 $\vec{B}(\vec{r})$이 존재하는 system속 free spin 1/2 particle의 eigenstate는 다음과 같이 나타낼 수 있다.

이 state를 Berry gauge field 식에 집어 넣으면

다음과 같은 값을 구할 수 있다.



이제 이 식을 이용해 Berry curvature를 구하면,

Then, we can write

And we know that this is the Dirac monopole field.
여기서 degeneracy의 역할을 짚고 넘어가고자 한다. Berry curvature는 system이 degenerate하는 parameter space속 한 점에서 monopole-like한 특이점을 보인다. magnetic field $\vec{B}$의 경우, 이는 위의 Berry curvature에서 $\vec{B}=0$인 origin으로 Zeeman splitting이 사라지는 곳이다.
$\vec{B}$-space에서의 Berry curvature에 대한 개념은 다소 추상적이며 물리적으로 받아들이기 힘들다. 우리는 공간적으로 불균일한 자기장 $\vec{B}= \vec{B}(\vec{r})$을 다루고 있기 때문에, $\vec{r}$-space에서의 등가적인 curvature 또한 정의할 수 있으며, 이는 물리적으로 magnetic field의 의미를 가지고 있다. (see Sec. II). 위에서 구한 $\vec{B}$-space 에서의 Berry phase를

real space 속 closed loop $C_{r}$에 대해 쓰면

여기서 $\vec{r}$-space 에서의 Berry gauge field를 아래와 같이 정의할 수 있고 이는 일반적인 자기장을 흉내낸 것이다.

2. Path integral formalism -> Skip
3. Unitary transformation
Berry curvature는 local unitary transformation으로 부터도 유도될 수 있다. 아래의 Hamiltonian을 갖는 시스템에서

공간적으로 변화하는 시스템을 바라보는 또 다른 방법은 각 $\vec{r}$-space에서의 spin axis를 local transformation을 통해 자기장의 방향으로 locking하는 것이다. Labratory(L) frame에서, magnetic field axis는 우리가 공간을 움직일때마다 변화한다. 이때 각 $\vec{r}$ 포인에서 L-frame을 회전시키켜 spin axis(일반적으로는 z축)가 magnetic field axis에 align하도록 system을 local transformation 시켜보자. 그러면, 우리가 풀고자 하는 문제는 "spatially uniform system"으로 변화한다. 이는 아래 그림에서 확인할 수 있다. (각 점마다의 정의되는 z축이 다른 것)

물론 이러한 transformation은 coordinate space $\vec{r}$에 gauge transformation을 필수적으로 수반한다. L frame의 local rotation을 더 용이하게 하기 위해서, 우리는 unitary matrix를 아래와 같이 정의한다.

또한 이 unitary matrix는 모든 $\vec{r}$ 점에서 다음의 관계식을 만족한다고 하자.

아마 눈치 챘겠지만, $U$는 unique하지 않다. 이 중에서 다음의 U를 선택하자.

이 unitary transformation을 적용하면,

이를 재 정리하면

위 식에서 우항의 첫번째 식은 명백하게 trivial 하지 않다. 왜냐하면 momentum operator ($\vec{p}$)는 공간에 대한 미분이고, unitary matrix $U$는 $\vec{r}$의 함수이기 떄문이다. 위의 Hamiltonian을 전개하면

위 식에서 아래와 같은 unitary transformation에 의해 유도된 spatial guage field를 정의했다.

정리하면, unitary tranformation에서 파생된 spatial gauge field가 Hamiltonian에 추가됐으며, 이때 spin state는 각 점에서의 magnetic field방향으로 고정이 된다. 또한 알아둬야 할 점은 $\hat{\mathcal{A}}$가 일반적인 vector potential가는 다르게 $ 2 \times 2 $ 매트릭스라는 것이며 이 매트릭스 내에 spin state의 정보가 포함되어있다.
더욱이, $\hat{\mathcal{A}}$가 Yang-Mills gauge field, 또는 non-Abelian gauge field의 대표적인 예라는 것이다. 이 gauge field의 특징으로는 components끼리 commute하지 않는다는 것이다.
위의 Hamiltonian에 나타난 $\hat{\mathcal{A}}$의 gauge transformation 규칙은 아래와 같다.

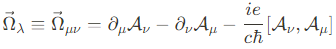
$\mathcal{A}$의 Yall-Mills curvature는 아래와 같이 정의 된다.

이는 일반적인 "curl" portion으로 noncomuuting corrections에 추가적으로 발생하는 것이다.
보통의 자기장과 같이, $\vec{\Omega}}$는 $\mathcal{A}$에 대해 불변이며, 이 역시 gauge potential을 마음대로 선택할 수 있는 자유권을 보장한다. 또한, 그것 자체로 물리적 효과를 발현시킨다.
우리의 gauge field $\mathcal{A} = -iU\vec{\nabla}U^\dagger$로 돌아와서, curvature에 대한 계산결과는 놀랍게도 $\vec{\Omega}=0$이라는 값을 도출한다. 이는 $\mathcal{A}$가 pure gague이기 때문이다. 유하난 curvature를 만들기 위해서는, 우리는 adiabatic approximation을 고려해야 하며, 해당 과정에서는 carrier들이 $\vec{r}$-space 속의 두 점 사이를 이동할 때 양자 시스템의 spin eigenstates에 머무는 것을, 그리고 state의 flip이 금지됨을 가정한다.
수학적으로, 이는 $\mathcal{A}$의 off-diagonal 항을 모두 0으로 보내고 오로지 diagonal term($\sigma_z$)만을 남기는 것과 동일하다. Adiabatic approximation이 적용 된 adiabatic gauge field $\mathcal{A}^{\mathrm{ad.}$는 아래와 같다.

이 식은 아래와 같이 단순화 시킬 수 있다.

정의에 따르면, $\mathcal{A}^\mathrm{ad.}_\pm$은 정확하게 Berry gague field이며, 이 field의 curvature는 Berry curvature이다. 이때, adiabatic approximation이 적용되면, gauge field는 Abelian(commute함)임을 알아두자. 이는 위의 $\mathcal{A}$의 Yang-Mills curvature에서 noncommuting correction이 사라짐을 의미하고, curvature는 일반적인 curl을 이용해 아래와 같이 구해진다.

하지만 일반적으로, Berry gauge field는 non-Abelian이 될 수 있다. 특히, adiabatic gauge field가 아래와 같을 때,

$\vec{B}-space 에서의 Berry curvature는 아래와 같으며, 이는 예상된 결과와 동일하다.

또한, 앞에서도 언급했지만 우리가 정의했던 unitray matrix $U$말고 또 다른 형태의 $U$가 정의되어 local coordinate transformation을 수행 할 수 있다. 이 각각의 $U$는 필수 불가결적으로 서로 다른 adiabatic gauge potential $\mathcal{A}$를 유도할 것이다. 하지만 gauge poential들은 아래의 gauge transformation rule로 서로 이어져 있으므로,

서로 다른 adiabatic gauge poential의 curvature는 변치않게 Dirac monopole field가 된다.
위에서 우리는 adiabatic approximation을 적용함으로써, $\mathcal{A}$의 off-diagonal 항을 없애버렸다. 이 approximation을 약간 수정해보자. 우선, gauge field를 아래와 같이 전개할 것이다.

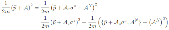
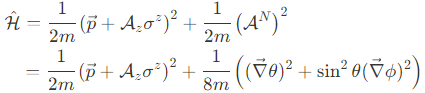
diagonal term에 해당하는 것은 $sigma^z$ 이므로, 우리는 $\mathcal{A}_z = \mathcal{A}^\mathrm{ad.}$임을 알 수 있으며, gauge field의 Berry component를 나타낸다. 반면에 $\mathcal{A}_x$와 $\mathcal{A}_y$는 $\mathcal{A}$의 off-diagonal component를 나타낸다. 여기서 새로운 심볼 $\mathcal{A}^N$을 이용해 off-diagonal term을 묶으면 Berry gauge field를 아래와 같이 다시 쓸 수 있다.

위 Berry gauge field를 포함하는 unitary transformed Hamiltonian의 운동에너지 항을 전개하면, 아래와 같이 쓸 수 있다.

아래 식 우항의 두번째 항에서, 우리는 $\{\vec{p},\mathcal{A}^N\}$을 무시하고 ($\sigma^x \rightarrow 0, \; \sigma^y \rightarrow 0$ in adiabatic limit), 또한 Pauli matrices의 anticommutation 성질에 의해 $\{\mathcal{A}_z \sigma^z, \mathcal{A}^N\}=0$이 됨을 알 수 있다. 두번째 항의 마지막 항은 아래와 같다.

위에서 계산한 $\mathcal{A}$을 이용해, off-diagonal component들은 아래와 같이 주어짐을 알 수 있다.

이 경우, effective Hamiltonian은 아래와 같다.

결과적으로, 우리는 $\mathcal{A}$의 off-diagonal component가 추가적인 scalar potental $\Phi$에 영향을 끼치는 것을 알게 됐다. adiabatic vector potential $\mathcal{A}^\mathrm{ad.}$과는 반대로, scalar potential은 spin-independent하다. 그러므로, 스핀트로닉스 관점에 봤을때, 일반적으로 $\Phi$는 무시된다. (하지만 charge transport에 대한 효과 확실히 존재한다)
C. Physical consequences
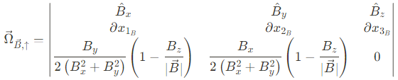
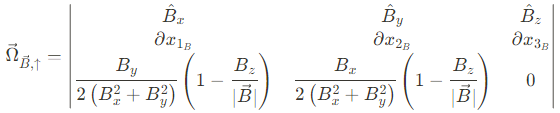
공간적으로 불균일한 자기장 $\vec{B}(\vec{r})$에 의해 생기는 Berry curvature는 물리적, 실용적인 의미를 함축하고 있다. Curvature 자체도 실제 자기장과 비유적으로 spin eigenstate-dependent 하며 Hall effect를 생성할 수 있다. 그리고 magnetization switching에도 영향을 끼친다. 이러한 효과들을 평가할 때, 반드시 $\vec{r}$-space에서의 Berry curvature $\vec{\Omega}(\vec{r})$ ($\vec{B}$-space가 아니다!)에 대해 조심스럽게 다뤄야 한다. Real space에서의 curvature는 "실제" 자기장을 나타내며, spin carrier가 영향을 받는다.
비록 $\vec{B}$-space 속 curvature는 언제나 Dirac monompole 이지만, $\vec{r}$-space 속 curvature의 형성은 $\vec{B}$의 정확한 공간적 configuration에 의존한다. $\vec{\Omega}(\vec{r})$를 계산하기 위해서는, $\vec{r}$-space Berry gauge field를 쓴 후 real-space에서의 curvature를 취함으로써 가능하다. (having in mind the explicit spatial dependence of angles $\theta$ and $\phi$).
Alternatively, it is possible to transform $\vec{\Omega}(\vec{B})$ directly via the relation

1. Spin-dependent forces: Chirality-driven spin-Hall effect
Berry curvature $\vec{\Omega}(\vec{r})$는 spin eigenstate-dependent magnetic field로서 행동하며, eigenstate-dependent Lorentz force를 발생시킨다.
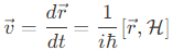
Heisenberg equation of motion을 이용하면,

또한 $\vec{v}$ 역시 Heisenberg picture에서는 다음과 같이 정의 되므로,

Hamiltonian을 다음과 같이 쓰면, (Zeeman term은 Stern-Gerlach force만을 만들어내므로 무시한다)

$\vec{v}$ 는 다음과 같이 Eisntein notation을 이용하여 전개할 수 있다.


component별로 모아 정리하면



그러므로,

이제 force opeator로 넘어가자. 앞에서 구한 식들을 위의 Heisenberg equation of motion에 대입하면

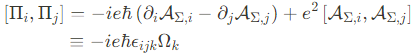
여기서 간편화를 위해 다음을 정의하자

Then, we can write

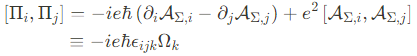
Gague fields 내에서, covatiant momenta $\Pi_i$는 noncommuting 하므로,

이 식을 위의 force항에 집어 넣으면,

이 식은 일반적인 Lorentz force와 별반 차이가 없어보인다. 하지만 이 식은 $\vec{A}$와 $\mathcal{A}$ 모두로부터 기여를 받는 식임을 알 수 있다. 여기서 잠깐 정리를 조금 하자.
- Force operator $F_i$의 정확한 의미가 약간 모호하다. 왜냐하면 양자역학에서는 "force"라는 개념이 없기 때문이다. 정확한 의미는 시스템 속 wave packet eigenstate의 real-space에서의 운동방정식을 유도함으로써 구할 수 있다. 이 과정을 거치면, "force"란 사실 운동방정식에서의 준고전적 가속항이라는 것을 알 수 있다.
- $\vec{r}$-space Berry curvature에 의한 Lorentz force는 또한 시간에 대해 adiabatically evolv하는 spin moments를 고려할 댸 준고전적으로 이해할 수 있다. 하지만, 우리는 스핀 의존현상과 연관되는 $\vec{k}$-space Berry curvature에 대해 더 파고들고자 한다.
- 위 식에서 Force의 크기는 공간적으로 변화하는 자기장의 세기 $|\vec{B}(\vec{r})|$와는 무관함을 알 수 있다. 이는 위에서 $\Omega_k$에 대한 식을 봐도 알 수 있다. $|\vec{B}(\vec{r})|$가 필요한 부분은 세기가 충분히 강해 adiabatic spin transport가 보장되는지에 대한 여부이다. 이 조건이만족되면, 결과적으로 발생하는 Berry curvature는 $\vec{B}(\vec{r})$ 의 세기가 아니라 $\vec{r}$-space에서 어떻게 field의 방향이 변하는지에만 의존한다.
여기서 궁금점이 생길것이다 "충분히 강하다는게 얼마나 강한 것인가?": 이 점은 우리가 시간에 대한 evolution을 다룰 때 더 자세히 볼 것이다.
이 chirality를 수반하는 전자 동역학은 흥미로운 topological transport effect를 구성한다. 위의 force term으로 나타난 Loretnz force는 2DEG기반의 나노구조에서 topological Hall effect를 설명하는데 설명 됐다.
Chirality-driven electron dynamics constitutes the interesting
topological transport effect.10 The Lorentz force in
Eq. (47) was used to describe the topological Hall effect by
Bruno et al.9,21 in two-dimensional electron gas (2DEG)
based nanostructures, with patterned ferromagnetic cylinders
providing the spatially nonuniform magnetic fields. The
authors in Ref. 9 assumed a fully spin-polarized 2DEG,
which corresponds to selecting only one of the gauge fields,
Aad:
" ¼ þ1
2ð1 cos hÞr/ in Eq. (32). This represents an
ordinary magnetic vector potential for the carriers, leading to
a Hall effect induced by the Lorentz force in Eq. (47). The
authors chose a magnetic field configuration with a zero spatial
average (thus ruling out the ordinary Hall effect), but
whose nonuniformity results in a Berry curvature in Eq. (40)
with a non-zero spatial average, Xz;ave:ð~rÞ 6¼ 0. To the first
order, the resulting transverse force on the carriers is proportional
to Xz;ave:,
F / Xz;ave:ð~rÞ ¼
h
eA0
ð
~n @x~n @y~n
dxdy; (48)
where ~n ¼ ~B=j~Bj in Eq. (40) and the integration is carried
out over the unit cell area A0. The factor h=e comes about by
converting the units for the curvature (1=r2) to Teslas. The
application of an additional external magnetic field was
shown to result in a change of topology of the system, affecting
the Hall conductivity in an unconventional way and providing
an unambiguous signature of the effect. From the
semiclassical Drude theory, the Hall conductivity rxy (for
spin-up electrons) is proportional to the effective magnetic
field, which is given in Eq. (48),9
rxy ¼
rxxeXz;ave:s
m
; rxx ¼
ne2s
m
; (49)
where n is the electron density and s is the mean free time.
In a similar context, Tan et al.12 studied a 2DEG-based system
with a mostly vertical magnetic field that has a small
superimposed spatial nonuniformity. In contrast to Ref. 9,
the weak magnetic field strength allowed both spin eigenstates
to be considered, and the Lorentz force induced a Hall
separation of oppositely polarized spins (this was balanced
by another force, due to spin-orbit coupling, which is
described in Sec. V C 2).
An analogous situation has been proposed in ferromagnetic
manganites (e.g., La2
3
(Ca,Pb)1
3
MnO3)13,14 and pyrochlores
(compounds of form R2Mo2O7, where R¼Nd, Gd,
Sm)15–17 arising from carrier hopping in lattices with nontrivial
spin textures. Experimental signatures of the topological
transport effect have been observed in Refs. 18 and 19 which
conclude that the spin chirality effect can play a significant
role in determining carrier transport.
앞에

'책 정리 > Gauge Fields in Spintronics, T. Fujuta' 카테고리의 다른 글
| I. INTRODUCTION& TERMINOLOGY (0) | 2023.12.06 |
|---|---|
| III. REAL SPACE GAUGE FIELDS IN GRAPHENE (0) | 2023.12.06 |
| IV. SPIN-ORBIT COUPLING SYSTEMS: REALSPACE ANALYSIS (0) | 2023.12.06 |
| V. SPIN-ORBIT COUPLING SYSTEMS: k-SPACE ANALYSIS (0) | 2023.12.06 |
| VI. TIME-DEPENDENT MAGNETIC SYSTEMS (0) | 2023.12.06 |
댓글