A. Spin-orbit coupling basics
Spin-rbit coupling (SOC) effect 는 반도체 스핀트로닉스에서 쉽게 찾아볼 수 있는 현상이다. SOC가 존재하는 시스템 속 자유전자가 하나 있을 때의 일반적인 Hamiltonian은 아래와 같다.

위의 SOC Hamiltonian은 진공 속 전자에 대해서 상대론적 Dirac 방정식의 낮은 에너지 조건에서 reducing 했을 때 얻을 수 있다.
정성적으로 보면, 이 효과는 특수 상대성 이론 argument로부터 이해할 수 있다: 전자가 lattice 를 통과하며 움직일 때, lattice 속 crystal field에 의한 전기장은 전자의 rest frame 관점에서 보면 Lorentz transformation을 통해 ~$\vec{k} \times \vec{E}$ 의 방향을 가지는 effective magnetic field라 볼 수 있다.
SOC strength는 relativistic energy gap $mc^2 \sim 0.5 MeV$에 반비례 하기 때문에, 진공에서 그 효과는 매우 억눌러진다. 하지만 반도체 속에서는, 이 효과는 상당히 강화되어, energy gap이 1 eV 크기까지 될 수 있다. 현상학적으로보면 위에서 보인 Hamiltonian에서 SOC항은 momentum-dependent effective magnetic field라고 볼 수 있으므로 아래와 같이 쓸 수있다.

여기서 $\gamma$는 coupling strength이다. 또한, 일반적인 자기장 $\vec{B}(\vec{r})$과의 혼동을 피하기 위해서, 이후부터 spin-orbit effective magnetic field에 대해서는 $\vec{B}(\vec{k})$라 명시하겠다.
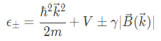
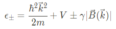
각각의 $\vec{k}$에 대해서, 전자의 spin degeneracy는 eigenstates 2개로 나누며(또는 subbands) 이 때 각 state $|\pm\rangle$에 대해 상응하는 energy eigenvalue는 다음과 같다.

여기서, $|-\rangle$이 두개의 subband 중에 에너지 상으로 더 낮은 state를 의미하며, 현상적으로 보면 각 $\vec{k}$에서 $\vec{B}(\vec{k})$ 방향으로 정렬된 스핀을 갖는 전자라 볼 수 있다. 일반적인 반도체에서의 전자와 홀의 spin degeneracy는 spatial inversion symmetry와 time reversal symmetry의 합쳐진 효과로부터 나타난다.
실제의 외부 자기장이 부재할 때, SOC의 TRS는 보존된다. 이는 다시 말하면 momentum-dependent internal magnetic field는 기함수어야 한다는 것이다.

다른 한편으로, spatial inversion symmetry는 다음을 나타낸다.

즉, SIS와 TRS가 동시에 만족하는 시스템에서는 momentum-dependent internal magnetic field는 존재하지 않는다. 그리고 SOC는 SIS가 깨진 구조에서만 유한한 값을 가진다. 이에대한 두개의 공통적인 예는 바로 반도체 heterostructure에서 나타나는 2DEG에서의 structural inversion asymmetry와 특정 결정구조에서 나타는 bulk inversion asymmetry이다. 공간적인 inversion asymmetries는 또한 메카니컬하게 strain이 적용된 결정구조에서도 나타날 수 있다. 이에 대해서는 아래에서 더 자세히 살펴보고자 한다.
반도체 heterostructure의 계면에서, 캐리어는 asymmetric quantum well (they are triangular to first order)에 갇히게 된다. 이는 결과적으로 계면의 xy-plane내에 2DEG을 만들어내며, normal-to-plane electric field $\vec{E}=E\hat{z}$에 종속된다. 이 시스템의 SIA는 이른바 Rashba SOC를 발생시키는데, 아래와 같은 Hamiltonian으로 나타낼 수 있다.

Apart from the built-in electric field, one can apply an external electric field to the 2DEG via conventional electrostatic gating structures to significantly modify the strength of the Rashba SOC.
On the other hand, BIA is present in crystals which lack a center of inversion, such as zinc blende and hexagonal structures. The resulting spin-orbit coupling is of the Dresselhaus type,61 described by the k-cubic Hamiltonian

Quite often, we are interested in low dimensional systems, such as in a 2DEG, in which Eq. (76) collapses into a k-linear form,

B. Non-Abelian gauge field representation
The SOC can be formulated within a real-space gauge field framework by transforming the general Hamiltonian in Eq. (72) to read (�→ is a real-space gauge field)

We note that the transformation is not exact, but an approximation (second order terms are neglected).
The spin-orbit gauge field, �→, is another example of a gauge field which is not associated with adiabatic transport of quantum states: it appears merely as a result of rearranging the Hamiltonian.
Rashba SOC의 경우를 예로 들면, gauge field는 다음과 같은 항을 갖는다.

위의 gauge field는 non-Abelian gauge field로써, 이의 curvature는 Yang-Mills curvature가 된다. 아래 Yang-Mills curvature의 정의를 이용하면

Approximated Rashba SOC에 대한 Yang-Mills curvature는 아래와 같다.

Equation above represent vertical magnetic fields which have different signs for spins polarized along þz^ and z^. This allows us to manipulate electrons in a spin-dependent way. Some of the physical consequences are described below.
C. Physical consequences
1. Aharonov-Casher phase

위의 Hamiltonian은 1980년 초기에 Aharonov-Bohm effect의 spin-dependent version을 설명하는데 있어 처음으로 인기를 얻었다. 이를 Aharonov-Casher phase라 하며 다음과 같이 나타낼 수 있다.

Aharonov-Bohm effect와는 반대로, AC effect에서의 gauge field는 TRS를 보존한다. 다시 말해 자기장이 없는 경우에 발생한다. 여기서 간단하게 AC phase와 Berry phase의 관계를 살펴보고자 한다.
우선, AC phase는 단순히 TR symmetric AB phase라는 점이다. 잘 알려진 AB phase는 유한한 vector potential �→가 존재하는 영역(in �→ space)에서 closed loop을 통과하는 flux를 계산하는 것으로부터 얻어진다. 이는 quantum state evolution에 대한 non-adiabatic phase factor이다. Such generalizations of the adiabatic Berry phase to any (especially non- adiabatic) cyclic evolution of quantum states is known as the Aharonov-Anandan (AA) phase.74 Indeed, in the limit of slow cyclic evolutions, the AA phase approaches the Berry phase.
Hatano et al.73 proposed a method to achieve perfect spin filtering by utilizing the interplay between the AC phase due to Rashba SOC in a semiconductor 2DEG and the AB phase due to an externally applied magnetic field. According to Eq. (82), spin-up and spin-down electrons experience equal and opposite effective vertical magnetic fields. Therefore, they acquire equal but opposite AC phases in Eq. (84). Hatano conceived a spatial circuit such that up (down) spin electrons acquired an AC phase of p=2(p=2). Furthermore, a finite magnetic vector potential was assumed to be present in the interior of the circuit, such that both spin-up and spindown electrons acquire an AB phase of p=2. In this scenario, spin-up electrons acquire a total phase of expðipÞ¼1, which is completely destructive, while spin-down electrons acquire a total phase factor of unity which is completely constructive. This results in a perfect spin filter whose output only consists of spin-down electrons.73 The polarity of the filter can be switched (such that the output consists of spinup electrons) by reversing the direction of the applied magnetic field.

Transverse spin separation mediated by spin-orbit coupling. Up and down spins experience opposing Lorentz forces, resulting in a spin-Hall effect.
2. Spin-dependent transverse force
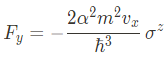
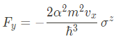
Being a gauge field in real-space, Aðr ~Þ is expected to result in spin-dependent transport due to the Lorentz force defined in Eq. (47). This force was studied in detail by Shen,71 who referred to it as the spin transverse force. It is referred to as a “spin” force because it is spin-dependent, and “transverse” refers to the fact that the response is perpendicular to an applied longitudinal spin current. In a 2DEG with Rashba SOC in Eq. (75), a spin current jz x (read: drift velocity tx along ^ x and spin polarized rz along z^) experiences a transverse force along the ^ y-direction in Eq. (47),

Clearly, Eq. (85) indicates that spin-up and spin-down polarized currents experience equal and opposite transverse forces. This is illustrated in Fig. 8. One important note is that this force is proportional to a2, where a governs the strength of the Rashba effective field. This is in stark contrast with the force due to Berry curvature, which is always independ-ent of the magnetic field strength. We also note that the spin along the z^-direction, with operator rz, is not a good quantum number of the Rashba SOC system and that the spins will undergo time evolution in the form of spin precession about the effective Rashba field. This implies that both rz and Fy in Eq. (85) are generally time-dependent. As p ~ is a good quantum number, we put p ~ ¼ px^ x without loss of generality and, for simplicity, assume an initial vertical spin-up state. Then, the z^-component of the spin as a function of time is given by rzðtÞ¼cosðxctÞ, where the Larmor frequency is xc ¼ 2akx. Semiclassically, we then obtain the ^ y-position of carriers by double integration of the acceleration obtained from Eq. (85),

'책 정리 > Gauge Fields in Spintronics, T. Fujuta' 카테고리의 다른 글
| II. SPIN-1/2 SYSTEMS IN THE PRESENCE OF SPATIALLY VARYING MAGNETIC FIELDTEXTURES (0) | 2023.12.06 |
|---|---|
| III. REAL SPACE GAUGE FIELDS IN GRAPHENE (0) | 2023.12.06 |
| V. SPIN-ORBIT COUPLING SYSTEMS: k-SPACE ANALYSIS (0) | 2023.12.06 |
| VI. TIME-DEPENDENT MAGNETIC SYSTEMS (0) | 2023.12.06 |
| VII. Summary (0) | 2023.12.06 |
댓글