참고문헌
(1) Wang, X.R. Anomalous spin Hall and inverse spin Hall effects in magnetic systems. Commun Phys 4, 55 (2021).
(2) Li, P., Zhang, JZ., Guo, ZX. et al. Intrinsic anomalous spin Hall effect. Sci. China Phys. Mech. Astron. 66, 227511 (2023).
(3) Yoshio, M, Keisuke Masuda et al. First-principles calculations on the spin anomalous Hall effect of ferromagnetic alloys. Phys Rev Materials. 5.
(4) T. Wimmer, B. Coester, S. Geprägs, R. Gross, S. T. B. Goennenwein, H. Huebl, and M. Althammer , "Anomalous spin Hall angle of a metallic ferromagnet determined by a multiterminal spin injection/detection device", Appl. Phys. Lett. 115, 092404 (2019)
(5) V. P. Amin, Junwen Li, M. D. Stiles, and P. M. HaneyPhys. Rev. B 99, 220405(R)
(6) A. Davidson et al. Perspectives of electrically generated spin currents in ferromagnetic materials. Physics Letters A 384 (2020)
(7) Joseph Arthur Mittelstaedt. GENERATION OF SPIN CURRENTS IN FERROMAGNETIC MATERIALS
(8) Isotropic Spin Hall Effect in an Epitaxial Ferromagnet,
0. INTRODUCTION
스핀트로닉스에서 발생하는 물리적 효과의 대부분은 스핀-궤도 결합(spin-orbit coupling, SOC)을 기반으로 일어난다. 그리고 이를 근원으로 한 효과 중 가장 활발하게 연구되는 분야는 단연 스핀 홀 효과(spin Hall effect, SHE)일 것이다. SHE는 전류 $ j_{c}$에 수직한 방향으로 스핀류 $ j^{\gamma}_{\alpha}$가 발생하는 현상을 말한다. 여기서 $\gamma$는 스핀 편극 방향이며 $\alpha$는 스핀류의 진행 방향이다. 이때 각 방향은 서로 수직한 직교성이 성립한다. SHE는 비자성체에서 발생하는 현상으로, 이 현상과 같은 메커니즘을 갖고있지만 강자성체에서 발생하는 횡방향 스핀류의 발생은 비정상 홀 효과 (anomalous Hall effect, AHE)로 명명하여 SHE와는 구분을 하는 편이다. 강자성체 속에는 자화가 존재하므로, 자화에 정렬되지 않은 스핀은 자화를 축으로 세차운동 하여 dephasing 된다. 즉, 강자성체 내에서 발생하는 모든 스핀류의 스핀 편극은 자화와 공선적이다. 또한 정렬된 스핀 속 업-스핀, 다운-스핀 성부느이 불균형으로 인해 전기장에 횡방향으로 휘어지는 전자의 양이 서로 달라 전기적 측정도 가능하다. (이때 전자 캐리어 수의 차이에 의해 나타나는 전압차로 AHE를 측정하며, 각운동량의 차이는 스핀 비정상 홀 효과(spin anomalous Hall effect, SAHE)라 한다).
하지만 최근들어, 강자성체 내에서도 SHE가 존재한다는 연구가 진행되고 있다. 바로 강자성체의 자화방향에 정렬되지 않은 스핀이 강자성체 내에서 dephasing 되지 않은 채 존재할 수 있다는 것이다. 강자성체 물질은 추가적인 order parameter로 인해 대칭성 붕괴가 나타난다. 강자성체 내 스핀 전류에 대한 개념을 단순히 보면, 자화가 강자성체 내부의 모든 스핀에 대해 전역 편극 방향을 설정하기 때문에, 전자의 흐름이 스핀 편극 방향과 동일할 수도 있다. 단순히 거시적으로 보면, 스핀은 자화에 정렬하지 않는다. 모든 eigenstates의 스핀의 total expectation value는 총 유효 자기장 (자기장 + 유효 SO field)에 정렬한다. 아래에서 우리는 강자성체에서 발생하는 서로 다른 종류의 스핀류에 대한 이론적 기초에 대해 다룰 것이다. 이를 크게 두가지 카테코리로 나누면, 1. Intrinsic effect, 2. Extrinsic effects 이다.
1. Intrinsic Effects
물론 평형상태일때와 magnetization이 easy-axis 방향(결정의high symmetry direction of the crystal)에 놓여있을 때, occupied states의 net spin density는 magnetization에 정렬하며, 그러므로 magnetization에는 아무런 torque가 작용하지 않는다. 하지만 만약 자화가 easy-axis로부터 misaligned 된다면, torque가 easy axis를 중심으로 precession을 유발하며, magnetocrystalline anisotropy를 발현시킨다. 이 magnetic force theorem은 자화가 easy-axis 방향으로부터 벗어났을 때, torque를 occupied states의 spin-orbit energy의 변화와 연관시킨다. The anisotropy torque can also be computed from the small transverse net spin density calculated non-self-consistently for a magnetization oriented away from an easy-axis [39].
FM/NM interfaces에서 interfacial spin-orbit field에 의한 spin filtering과 spin precession 또한 spin current 생성이라는 결과를 낼 수 있으며, 이는 interface-generated spin currents라 명명된다. 이러한 extrinsic mechansim에서 dephasing의 역할을 결정하기 위한 더 많은 연구가 필요한 실정이다. 강자성체 내의 스핀류 생성에 대한 이러한 예시들은 다양한 종류의 가능한 메커니즘들 중 일부분만 보여준다. 이 article에서는 강자성체 내에서 SOC에 의해 좌우되는 charge-spin conversion에 대한 known examples들에 초점을 맞추고자 한다. 섹션2에서, we discuss what spin currents are allowed by symmetry in a ferromagnetic material. Based on this analysis, we group spin currents in ferromagnets based on their spin direction being longitudinal or transverse to the magnetization direction. We then review recent theoretical (sections 3–4) and experimental (sections 5–8) advances and classify them into these categories. Finally, in section 9, we discuss unanswered questions and new directions within this field.
Linear response theory에 의하면, 전하 전류 $\vec{J}$에 의한 스핀류 $ j_{i}^{j}$는 아래와 같이 나타낼 수 있다.

여기서 $\theta_{ijk}^{SH}$는 spin Hall angle tensor이며, 다음과 같이 나타낼 수 있다. (여기서 $M_{l}$은 $\vec{M}$의 $l$번째 component이다.)

우리는 위 식이 두개의 항으로 이루어짐을 알 수 있다. 첫번째 항은 non-reorientable component이며, magnetization 방향에 상관없이 SHE의 형태를 갖는다. 나머지 항은 reorientable component로 우리가 ASHE 라 불리는 항이며 자화와 수직할 수도, 아니면 평행할 수도 있다. 위에서도 말했듯이, 직관적으로 강자성체 내에서 자화의 방향과 일치하지 않는 스핀 분극의 존재는 없다고 생각할 수 있다. 하지만, 서로 같은 crystal momenta를 갖지만 spin direction은 다른 eigenstates들이 superposition 됐을 때 자화의 방향과 일치하지 않은 스핀이 존재할 수 있다. 각 component의 polarization이 internal field를 중심으로 precession할 수는 있지만, 같은 운동량을 근거로 두 spin states 사이의 relative phase가 언제나 같게 유지되기에, dephasing으로부터 자유로울 수 있는 것이다. 이 combination은 0의 spin density를 갖지만, 스핀류를 통해 각운동량을 전달한다. 이를 좀 더 자세히 살펴보기 위해 Amin 연구팀의 논문에서 고려한 toy model을 고려해보자. 해당 모델에서는 정사각형 lattice를 가지는 2D tight-binding model로 구성된다. 이때 고려되는 항들은 다음과 같다.
- 각 site마다 2개의 p-type orbitals
- nearest heighbor hopping term
- next-nearest neighbor hopping term
- magnetism
- a simplified form of spin-orbit coupling
이 toy model에 대한 low-order Hamiltonian은 다음과 같이 쓸 수 있다.

여기서 $t$는 nearest neighbor hopping 파라미터이며, $t'$은 next-nearest neighbor hopping 파라미터이다. 또한 $k_x$와 $k_y$는 각각 x방향과 y방향으로의 모멘텀이며, $\mathbb{I}_p$는 모멘텀 공간(p-space)에서의 identity operator, $\mathbb{I}_s$는 스핀 공간(s-space)에서의 identity operator이다. $\Delta$는 자성에 의해 발현되는 exchange energy이고 $\labmda$는 SOC strength 파라미터이다. 이 중 orbital과 hopping 파라미터에 대한 그림은 아래와 같이 나타낼 수 있다.

우리는 위의 Hamiltonian에서 특정 항들로만 이루어진 toy model을 이용해, 직관력을 키울 수 있으며, 점진적으로 항들을 추가하여 전체적인 모델을 만들어낼 수 있다. 우선적으로, 우리는 magnetism과 nearest-neighbor hoping만을 고려해볼 것이다. 즉 다시 말해, $ t' = \lambda = 0 $이다. 이 경우 해밀토니안은 아래와 같이 쉽게 나타난다.

이를 대각화 했을 때 eigenvalue는 다음과 같다.


이는 up, down spin states의 parabolic bands의 세트를 묘사하는 것으로, $k_x$ 방향, $k_y$ 방향에 대해서 각각 exchange energy $\Delta$ 만큼 나누어져 있다. 이 경우의 band structure는 다음과 같다.

이 단순화된 Hamiltonian에 또 다른 항을 추가하는 것은, up-spin 밴드와 down-spin 밴드가 교차하는 degenerate points($E_x^{\pm} = E_y^{\pm}$)를 깨는 것(=avoided crossing)이며, 이는 두가지 경우로 나눌 수 있다. 첫번째 경우는 inter-orbital crossing이라 하며, 두개의 밴드가 서로 같은 spin을 가지고 서로 다른 orbital($k_x =\pm k_y$)을 가지는 지점에서 발생한다. 또 다른 경우로는 inter-spin crossing이라 하며, orbital과 spin이 모두 다른 경우($k_y^2 k_x^2 = \pm 2 \Delta / t$)이다. 이 서로 다른 타입의 crossing을 구분 짓는 것은 spin current가 어디서부터 발생했는지 결정하는데 매우 중요하다. 위의 Hamiltonioan에 항들을 추가할 수록 eigenstates를 구하는 것(diagonalization)은 매우 복잡해지므로, next-nearest neighbor hopping term을 추가 ($t' \ne 0$) 했을 때를 numerically하게 풀어 inter-orbital crossing의 degeneracy를 깰것이다. 이를 통해 시스템은 서로 다른 orbital 사이를 움직임으로써 system의 에너지를 최소화 할 수 있다. Fig 2.1 (b)는 inter-orbital crossing이 gap을 열었을 때를 묘사한다.


하지만, 두 밴드의 spin expectations은 이전과 같으며, spin crurrent의 primary driver가 되지는 못하는 것을 알아 차릴 수 있다. 이번에는 spin-orbit couping이 추가되는 경우를 생각 해보고자 한다. 이 경우, inter-spin crossing의 degeneracy가 깨지게 되고 시스템의 서로 다른 spin state들 끼리의 mixing이 허용된다.(이 gap 부근에서 spin expectation은 급격하게 변한다). Fig 2.1 (c)는 이 경우를 묘사한 것이다. 이를 통해, 새로운 항을 추가하는 것은 band structure의 degeneracy를 깨는 역할을 하고, spin expectation을 수정함을 이해했다. 이 두 과정은 모두 시스템에서의 스핀 홀 전류 생성에 중요한 역할을 한다.
이제 우리는 system의 spin Hall conductivity를 계산해보고자 한다. 이를 위해, 우선 Berry curvature와 유사한 spin Berry curvature를 정의하고자 한다. 이 spin Berry curvature는 band structure에서 정의 할 수 있는 물리량이고, 이를 적분하여 spin Hall conductivity를 구할 수 있다. Berry curvature는 종종 인가되는 전기장에 수직한 응답에 대한 계산을 할 때 나타나는데, 강자성체의 AHE의 근원을 이해하는데 필수적인 물리량이다. 시스템의 spin response를 찾기 위해, Berry curvature 식을 조금 수정하여 다음과 같이나타낼 수 있다.

여기서 $i$, $j$는 spatial index, $\alpha$는 spin index를 각각 나타내며, $v_i(\vec{k}) = \partial H / \partial k_i $는 velocity operator, $v_i ^{\alpha} = \cfrac{1}{2} \{ s^{\alpha}, v_i \}$는 generalized spin velocity operator이다. 예를 들어 $\alpha = 0$, $ i =y$, 그리고 $j=x$를 대입하면, 이는 일반적인 Berry curvature 식으로 환원된다.위 식을 이용하여, 우리는 (T = 0 K 에서의) spin Hall conductivity 를 아래와 같이 구할 수 있다. (Berry curvature에서 Hall conductivity를 구하는 과정과 동일!)

그러므로, 우리가 가정한 모델 속 특정 spin polarization $\alpha$에서의 spin Hall conductivity를 구하기 위해서, 우리는 단지 Fermi level을 정하고, $i = y$와 $j=x$를 대입한 뒤에, spin Berry curvature를 구한 뒤, 이를 모든 occupied bands에 대해 적분하기만 하면 된다.

Fig 2.2(c), (d)에서는 각각 서로 다른 값의 Fermi level을 선택한 경우, z축 방향으로 polarized된 spin Berry curvature가 어떻게 형성 되는지 알려준다. 그리고 이에 따른 band structure는 각각 (a), (b)에 나와있다. 이로부터, 우리는 dominant contribution은 antircrossing 으로부터 온다는 것을 알았다.
우리는 사실 toy model에서의 spin Hall conductivity는 크게 관심이 없다. 우리는 이러한 효과를 강자성체에 적용시켰을 때 어떠한 일이 벌어지는지 궁금한 것이다. 이전 과정을 통해, 자화가 x 방향으로 정렬한 강자성체 속에서 z 방향으로 polarization된 spin Hall conductivity $\sigma_{yx}^{z}$가 toy model에서는 유한함을 알았다. 이제는 이것이 발생하기 위해 필요한, 중요한 ingredients에 대한 insight를 찾아보고자 한다. 아마 가장 중요한 것은 시스템 속 서로 다른 spin states의 mixing을 가능케 할 SOC일 것이다. SOC는 Fermi level 근처에서 더 강화되는데, 이는 Figure 2.2(c), (d)에서 발견할 수 있듯이 SOC에 의해 열려진 inter-orbital crossing의 contribution (those along the diagonal kx = ±ky)은 필수불가결하게 cancel 되지만, inter-spin crossing (off the diagonals)은 have more difference in the positive and negative contributions.
이 점은 Amin 연구팀에서 진행한 DFT 기반 계산에서도 볼 수 있다. 해당 계산에서, 연구팀은 Fe, Ni, Co 등의 강자성체 속 spin Hall effect like conductivity의 가장 큰 contribution은 서로 다른 스핀 character를 가지는 band가 intersect하는 영역에서 발생함을 발견했다. 그들은 또한 이 점들 근처에서, spin expectation이 0에 가까워짐을 발견했다. 그러므로 충분한 SOC를 가짐으로써 band structure의 gap을 여는 것은 우리가 자성 물질에서 찾아야 할 첫번째 기준이 된다. 하지만 가벼운 전이금속에 속한 강자성체에서도 이러한 현상은 발견되기에, 너무 많은 양이 필요하지 않음은 자명하다. 더욱이, 이러한 crossing 주변부에서 Fermi level이 위치하여, 전자들이 conduction에 참여하는 것 역시 필요하다. 이에 대한 가장 직관적인 방법은, 전기장을 인가함으로써 carrier의 wavefuction을 perturbation 시키고, 서로 다른 에너지를 갖지만 비슷한 momenta k를 갖는 states들을 coupling시키는 것이다. 만약 이것이 spin expectation이 급격하게 변화하는 점 근처에서 발생한다면, 이 메커니즘은 magnetization과 misalign되어 있는 spin expectation을 가지는 states를 형성시키고 dephase 또한 발생하지 않을 것이다. 이 분석으로 부터, 우리는 SOC와 서로 다른 spin character를 가지는 bands 사이의 crossing이 magnetization과 어긋난 spin currents를 생성시키는데 결정적인 역할을 한다고 말할 수 있을 것이다. 강자성체의 알짜 자화와 collinear하지 않은 spin current의 component 중, 지금까지 우리가 크게 고려하지 않은 것은 SAHE이다. 이 component는 미래 기술에도 사용 될 수 있음으로 매우 중요하다. 우리가 가정한 toy model (자화와 전기장이 평행한)에서는, SAHE는 발현되지 않을 것으로 예상 한다, 이는 왜냐하면 AHE 처럼, 발생하는 spin current는 벡터 외적 $\vec{E} \times \vec{m}$에 비례하기 떄문이다.
. The largest contribution to the spin conductivity polarized along the magnetization is near crossings between bands with the same spin character, which were the other types of crossing identified above. These are also the types of crossings which contribute most to the intrinsic part of the anomalous Hall effect in these transition metal ferromagnets. Indeed, if we take the calculations of Fe done in [1], shown in Figure 2.3, we can see that the largest contributions to this spin Hall conductivity (denoted σ‖ in the figure) and to the anomalous Hall conductivity (σAHE) we can see that both follow almost exactly the same profile and are largest in regions where the energy bands have the same spin character. This tells us that to find materials with large SAHE we should look for crossings of bands with similar spin character, but also that we can look for materials in which the anomalous Hall effect is large, which can make searching for materials much easier since anomalous Hall conductivities have been measured for decades.
자화 방향으로 정렬한 스핀에 대한 전도도에서 가장 크게 기여하는 것은 동일한 스핀 character를 가진 밴드들 사이의 교차점 근처에서 발생한다. 이와 같은 교차점들은 또한 이 전이금속 강자성체에서 AHE의 intrinsic part에 크게 기여하는 유형이다. 실제로, Fe에 대해 계산을 하면, spin Hall 전도도($\sigma_{||}$)와 anomalous Hall 홀 전도도($\simga_{AHE}$)가 거의 동일한 패턴을 보이며, 두 에너지 밴드가 동일한 스핀 성질을 가진 영역에서 최대값을 나타낸다. 이는 ASHE가 큰 물질을 찾기 위해서는 유사한 스핀 성질을 가진 밴드의 crossing을 주목해야 한다는 것을 시사한다.

2. Extrinsic Effects
여기서 부터는 extrinsic effects를 다룰 것이다. 이는 즉 bulk band structure로 인한 효과 이외의 모든 것을 의미한다. 그 중에서도 우리는 impurity sites에서의 scattering, 그리고 서로 다른 물질 사이의 계면에서 발생하는 scattering이나 다른 현상들에서부터 발생하는 효과에 대해 초점을 맞출 것이다. 이는 유용한 분류인데, 왜냐하면 보통의 intrinsic효과라 하면 우리가 보고자 하는 물질의 band structure가 해당 효과에 대해 conductive하기를 바라야 하는 것과는 반대로, 서로 다른 물질들의 조합을 분석함으로써 더 많은 자유도를 갖게되기 때문이다. 더욱이, 적어도 AHE의 경우, extrinsic effects가 실제 high conductivity limit에서는 지배적인 효과를 갖는데 알려져있다 (intrinsic effects는 moderate conductivity regime에서 파이가 커진다.) 이는 또한 우리에게 더욱 더 큰 SOC를 가지는 중금속을 더하게 해주는데, 이전 섹션에서 우리가 봤듯이, 이러한 물질들은 spin current의 생성을 증가시킨다. 이 가능한 이익을 인식한채로, 이제는 이 extrinsic effects로부터 어떠한 스핀류가 생성될 수 있는지 확인해보고자 한다.
2.A. Impurity scatering
Extrinsic effects를 유발하는 주요 소스 중 가장 잘 알려진 것 중 하나는 바로 impurity, 또는 host material의 dopant이다. 이 녀석을은 일반적으로 host material 내부에 꽤나 적은 밀도로 산재하여 있으며 전도 전자의 scattering sites로서 행동한다. 만약 이 scattering sites가 매우 큰 spin-orbit coupling을 가지고 있다면, scattering rate는 전자이 spin state에 의존하게 된다. 다시 말해 scattering이 특정 방향으로 알짜 스핀의 흐름을 만들어낼 수 있다는 것이다. Impurity sites에서의 scattering은 두개의 케이스를 갖는다. 첫번째 하나는 skew scattering이며, 전도전자의 충돌 이전과 이후에 운동 방향의 각도가 변화하며 이로 인해 운동량이 변화한다. 다른 하나는 side-jump scattering이며, 이 경우 충돌 이전과 이후 모두 운동량의 unit vector는 같지만, 전자 파동함수의 phase가 운동량의 수직방향으로 변화하며, 이로인해 역시 transverse 움직임을 유발한다. 이 두 종류의 scattering은 전체적인 파동함수가 scattering 이후에 어떻게 수정되는지에 대해서 일정 부분 다르며, 결과적으로 sample resisance에 대해 서로 다른 dependencies를 가진다. 하지만 우리의 purpose에만 보면, 두개 모두 전자에게 수직방향의 움직임을 만들어 내며, 이는 spin-orbit coupling 때문이므로 spin dependent하다.
이 두 종류의 scattering이 강자성체에서 spin current를 생성하는 방법은 Pauyac 연구팀에 의해 조사됐다. 그들이 특히 고려했던 효과는 scattering phenomenon으로부터 발생하는 spin swapping이었는데, 이 현상에서 위에서 언급한 impurity scattering이 주어진 spin polarized curent의 flow 방향과 polarization을 교환하는 수단으로써 발생한다. It is somewhat remarkable that the general impurity scattering can naturally conspire to interact in such a way that the polarization and flow directions are exactly swapped, but as the authors describe this happens because the rotation of the spin polarization is correlated with the amount of deflection due to the spin-orbit coupling. 우리는 이를 직관적인 수준에서 어느정도 이해할 수 있는데, effective spin-orbit field를 자기장으로 고려하고 전하를 띈 입자의 deflection이 field의 세기에 비례한다는 것을 기억하면 말이다. The authors in [34] conceived of this effect as happening in a non-magnetic system, merely noting that wherever you have an extrinsic mechanism leading to the spin Hall effect, this spin swapping effect will also exist, as long as there is a spin polarized current flowing in that material from some source. The authors in [52] then noted that inside of a ferromagnet any current is spin polarized necessarily.
어느 강자성체 물질이 적절한 dopants를 포함하여 scattering sites를 보유하고 있고, 이때 자화의 방향이 z방향이며 전류가 x 바향으로 흐른다면 spin swapping effect는 z축 방향으로의 spin current를 만들어 낼 것이며 이때의 spin polarization 방향은 x 방향일 것이다. 결과적으로, charge current의 수직방향으로 spin current를 만들어내는 것이다. 이에 더해 Pauyac 연구팀은 강자성체 속 알짜 자화가 swapping effect에 의해 생성된 spin current를 세차운동 시켜 spin current의 polarization을 x 방향으로 보낼 것이라고 제안했다. Now, as we had discussed previously the net spin current is composed of states of similar energy but potentially different Bloch wavevectors, so dephasing due to differing precession does impose restrictions on these spin currents. This ends up meaning that only the region about one spin diffusion length from the interface of the ferromagnet will participate in generating a spin current accumulation and transmission through the interface, which in most systems is a few nanometers at most [7]. However, these scattering-based effects still remain a possible source of the spin currents generated in a ferromagnet and should be kept in mind when interpreting any experimental results.
2.B. Interface Scattering
Wolfgang Pauli의 quote를 빌리면, 물리학자들이 계면현상에 대해서 어떤 생각을 가지고 있는지 알 수 있다.
“God made the bulk; surfaces were invented by the devil.”
서로 다른 물질 사이의 계면에서는 무수히 많은 종류의 현상들이 일어날 수 있으며, 각각은 모두 bulk 현상으로부터 떼어내기 상당히 어렵다. 물론 이는 다시 말해 계면 엔지니어링을 이용하면 풍부한 현상을 유발 할 수 있다는 뜻이며, 우리의 목적에는, 우리가 만들어내는 spin current의 polarization을 수정할 수 있는 가능성을 더 열어주는 역할을 할 수 있다. 몇몇 가능성들중 Amin, Stiles에 의해 연구된 토크를 발생시키는 관점이 특히 흥미로운데, 그들은 어떻게 계면에서의 spin-orbit coupling이 (강자성체 속 자화의 존재로 인한 symmetr breaking 도 원인이 된다) 계면을 통과하는 스핀류를 modify 하여 더 풍부한 polarization을 가지는 spin currents를 만들어내는지에 대해 연구하였다.
이 연구에는 크게 두개의 대표적인 효과들이 고려됐다.
| Effect | Description |
| The spin-orbit filtering effect | spin-robit coupling을 가지는 모든 계면에서 일어날 수 있음 |
| The spin-orbit precession effect | interface를 구성하는데 강자성체가 있어야 하며, 이 강자성체가 가지는 자화로 인한 reduced symmetry가 필요하다. |
우리는 이 효과들에 대해 아래에서 더 자세히 살펴볼 것이다.
Spin-orbit filtering effect는 이론적으로 매우 이해하기 쉽다. 계면에서 SOC가 존재한다면, 마찬가지로 effective magnetic field가 존재할 것이다. 이 계면을 통과하려는 전자들은 그러므로 그들의 스핀 방향과 effective spin-orbit field의 방향 사이의 각도에 따라서 서로 다른 transmission, 또는 scattering 확률을 갖게 될 것이다. 몇몇 특정 spin polarization은 매우 높은 spin transmission 확률을 갖게 될 것이므로, 알짜 spin polarization이 없는 전자의 전류라도 계면을 통과한다면, transmitted current는 알짜 스핀 polarization을 가질 것이다. 이 효과는 어떠한 계면에서도 발생할 수 있다. 다시 말해, 원칙적으로 비자성체 계면에서도 매우 큰 spin-orbit coupling만 존재한다면 발생할 수 있는 것이다. 이 효과는 단순한 electron gas model이더라도 Rashba effect가 존재한다면 filtering 효과가 발생한다는것이 이미 입증됐다. 이때 결과적인 스핀류는 $ \hat{z} \times \vec{E}$의 방향으로 polarization을 갖게 되며, 이때 $\hat{z}$는 interface의 normal 방향이다. 특히, 비록 이 효과는 magneic material을 포함하는 계면에서도 발생할 수 있지만, 우리는 transmitted 스핀류의 polarization을 컨트롤 할 수는 없다.
Spin-orbit precession effect는 더 미묘한 효과이다. 다시금 SOC에 의해 계면에서 발생하는 effective field를 고려해보자. 우리는 이 effective field를 통과하는 전자의 moment가 field를 중심으로 하여 세차운동 할 것을, 그리고 나아가 계면을 통과한 뒤 서로 다른 spin polarization이 유발된다는 것을 예상할 수 있다. 매우 단순한 모델을 생각하여, 만약 계면을 통해 전달되는 전자들이 알짜 polarization을 갖고 있지 않는다면, 서로 반대방향의 스핀을 가지는 전자들은 interface를 지나친 이후 같은 양만큼 회전할 것이므로, 통과 이후에도 알짜 spin polarization이 0이라는 것은 변함이 없을 것이다. 이러한 이유 때문에, 이 효과가 의미를 갖기 위해서는 spin-polarized current로 시작을 해야한다. 계면을 구성하는 물질 중 하나가 강자성체라면, 계면을 통과하는 어떠한 전류라도 반드시 자화의 방향 $\vec{m}$과 평행한 방향으로의 polarization을 어느 정도 가질 것이다. 이와 관련하여, 우리는 또한 이와 동일한 효과가 Rashba SOC가 존재하는 free-electron gas model에서도 발생함을 볼 수 있다. 이때의 결과적인 spin polarization은 $\vec{m} \times (\hat{z} \times \vec{E})$의 방향이다.
특히, 만약 자화가 in-plane 방향을 향한다면, 우리가 전기장을 x방향으로 걸었을때 발생하는 스핀류의 polarization은 z방향을 향할 것이다. 이는 기존의 비자성체 중금속을 이용하는 경우 달성하기 어려운 것으로, 몇몇 기술적 응용에서 바라는 polarization 방향이다. 이 계면에서의 효과들, 특히 spin-orbit precession,은 최근에 실험에서 밝혀지는 현상들의 근원으로 지목되기도 했다. Spin-orbit precession은 연구자들로부터 가장 자주 인용되는 현상인데, 이는 polarization의 방향, 그리고 자화 방향과의 관계가 다른 효과들하고는 다르기 때문이다. 그러므로 이는 다른 효과들로부터 더 잘 구분될 수 있다. 첫번째 보고는 PMA를 가지는 강자성체가 우리가 "일반적으로" SHE symmetry를 고려했을 때 발생해야 하는 스핀류의 polarization과 수직한 방향의 spin torque를 발생시켰던 것으로, 이는 인접한 in-plane 자성체의 damping 변화를 통해 관측됐다. 이를 기점으로, 다른 실험 측정 방법을 사용하는 유사한 실험들 또한 비슷한 효과를 관찰할 수 있었다. 대표적으로, PMA 자성층이 in-plane polarized spin current를 만들어내는 것이었다. 아마 추후 응용면에서 더욱 흥미로운 조건은 당연히 IMA 자성층이 out-of-plane spin current를 만들어내는 것이겠다. 이는 실험적으로 보고만 된 상황이다. 이 효과는 좀 다른 실험적 기술을 통해 조사됐으며, 인접한 PMA 자성층의 자화를 스위칭 하기 위해 이용됐다. 물론 이 경우에는 매우 큰 전류 밀도를 필요로 했다. The authors in this work also seemed to confirm that this was indeed an interface-driven phenomena since they had initially seen that the effects in CoFeB and Py had opposite sign, and after e.g. coating a thick Py layer with a 1 nm layer of CoFeB, the sign of the resulting effect was the same as that seen for the thick CoFeB. Looking forward, there is plenty of room to see how this effect can be engineered through selecting different interface material, and seeing if the effect size of an in-plane magnet generating an out-of-plane spin polarization can be increased.
2.iii. Agnostic Effects
We would be remiss not to mention one other study which does not make the distinction between intrinsic and extrinsic effects.
해다 연구는 Taniguchi 연구팀에서 진행 됐는데, 특정 형태의 SOCThe work done by Taniguchi et al. [68] assumed some form of spin-orbit coupling, remaining agnostic as to its source, and used a drift-diffusion framework to investigate spin currents generated by the spin versions of the anomalous Hall effect and planar Hall effect.
해당 연구의 AHE 파트는 우리가 다른 곳에서 충분히 얘기를 했지만, 해당 연구의 저자들은 PHE 역시 anisotropic magnetoresistance를 발생시키며 The anomalous Hall part of this work we have effectively discussed elsewhere, but these authors pointed out that the planar Hall effect, which also gives rise to the anisotropic magnetoresistance and consists of an applied charge current creating a current/voltage in response in the direction of the magnetization, will also be spin polarized in a manner analogous as that for the spin Hall effect. This phenomenon affords us another mechanism by which to create a spin current with a controllable polarization, and could interfere with any measurements of spin currents generated by the SAHE. The expression for the spin current generated via this mechanism is
Qij = σSPHEmimj(m · E)
where Qij is the spin current tensor with flow and polarization indices i and j respectively and σSPHE is the conductivity associated with the spin version of the planar Hall effect. This effect has been shown experimentally by Safranski et al. [56, 57] using a damping modulation method, and also showed that this can generate out-of-plane polarized spins by tilting the polarization of the ferromagnet out-of-plane using a magnetic field. Although this effect has not been as heavily investigated, it is still deserving of research as it provides another pathway to generate the technologically relevant out-of-plane polarized spin currents.
III. ANOMALOUS SPIN HALL EFFECT
orthogonality최근의 Wang의 연구에 따르면, 강자성체의 magnetization과 반강자성체에서의 N'eel order와 같은 order parameters들이 conduction electrons들과 상호작용함에 의해서 anomalous spin Hall effect (SAHE)가 나타난다는 것을 제안하였다.
위에서 설명했듯이, 일반적인 SHE는 i, j, k의 방향, 즉 전류의 방향과 스핀류의 방향, spin polarization의 방향이 모두 orthogonal 할 때 0이 아니다. 반대로, $M_{l}$을 포함하고 있는 항은 i, j, k가 orthogonal 하지 않아도 0이 아닌 값을 가질 수 있다. 또한 이 경우에 magnetization $\vec{M}$에 비례하는 값을 가진다.
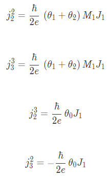
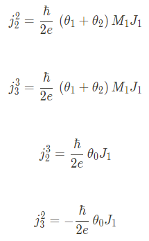
예를 들어 spin current $j_{3}^{3}$이 흐르는 경우를 생각해보자. 그러면 spin Hall angle tensor는 아래와 같이 되며,

$\theta_{0}$를 포함하는 Levi-Civita term은 0이되며, 개별적으로 존재하는 $\theta_{1}$, $\theta_{2}$ 항 모두 Kronecker-Delta 성질에 의해 0이된다. 결국 남는 것은

이고 이를 스핀류의 식에 넣으면 아래와 같이 얻을 수 있다.

Einstein summation convention및 Kronecker-Delta 성질에 의해 해당 스핀류는 자화의 방향과 전류의 방향이 같은 경우, 스핀류의 방향과 스핀의 방향이 같은 스핀류가 만들어 질 수 있음을 말해준다. 또한 $ l \neq 3 $이므로 자화가 spin current 및 spin polarization과 평행한 경우는 금지됨을 알 수 있다.
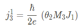
이번에는 spin current $j_{1}^{2}$가 흐르는 경우를 생각해보자. 그러면 spin Hall angle tensor는 다음과 같다.

이를 정리하여 스핀류 식에 대입하면

spin Hall effect에 따르면, z방향으로 전류가 흐를 때만 발생하던 스핀류 $ j_{1} ^{2}$가, 자화가 존재하는 FM에서는 자화의 방향에 따라 다른 방향의 전류에서도 흐를 수 있음을 알 수 있다.
이제 가능한 실험적 증명법에 대해서 알아보도록 한다.

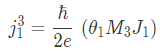
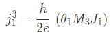
위와 같이 FM2에서 전류가 x방향으로 흐르면서 자화 또한 x방향을 향하고 있을 때, 위의 식은 아래와 같이 나타낼 수 있다.

이때 가능한 스핀류의 경우의 수들은 아래와 같다.

즉, FM2에서 x방향으로 전류가 흐르면서 자화가 x방향을 향할 경우, 4개의 서로다른 종류의 스핀류가 생성된다. 이 중에서 우리가 보고자 하는 것은 z축 방향으로 향하는 스핀류 이므로 $vec{j}_{3}^{3}$, $vec{j}_{3}^{2}$가 될 것이다.
이제는 이 스핀류가 spacer를 통과하여 FM1에 도달했을때, ISHE가 작용하는 상황을 한번 보도록 한다.
먼저 $\vec{j}_{3}^{3}$에 대해서 보면

만족하는 것이 없다. 그러므로 ASHE에 의해 만들어진 스핀류가 ISHE로서 전압에 detect되는 일은 없을 것이다.
다음으로는 $\vec{j}_{3}^{2}$에 대해 보고자 한다.

이 경우, 두 방향의 전류가 생성됨을 알 수 있다. 이 중 x방향으로 흐르는 전류를 만드는 성분은 conventional ISHE에 의한 것이고, y방향으로 흐르는 전류를 만드는 성분이 우리가 보고자 하던 anomalous ISHE에 의한 것이다.
그러므로 우리는 이 y를 측정하면 된다.
Two Possible Mechanism for the anomlous SHE.
1. Trivial
2. Same origin as that of the anomalous Hall effect
Let us consider an eelctric current $\vec$ flowing along the x direction in a amgnet whose magnetization $\vec{M}$ points to the z direction.
이 경우에 spin current 공식은 다음과 같다.

이때 성립하는 스핀류는



일 것이다.
Non-trivial case: An electric field will build up along the y direction due to the open boundary condiction along the y direction in a normal setup.
According to the anomalous Hall effect, the field is $ E = \rho_{1}MJ $ .여기서 $\rho_{1}$은 anomalous Hall resistivity로, 일반적으로 normal Hall resistivity보다 매우 크다. 이 장 내에서, charge current $\sigma_{yy} E$ along the y direction이 만들어지고 cancels the deflected charge current along the x direction due to the anomalous Hall effect, where $\sigma_{yy}$ is the longitudinal conductivity along the y direction.
하지만 일반적으로, 두 전류의 spin polarization은 자성체 내에서 같지 않다. 결과적으로, y direction으로는 알짜 전류가 흐르지 않고, 오로지 spin current 만이 y direction으로 흐른다. (예를 들면 $j_{2}^{3}$).
이 전류의 크기는 order of $a \sigma_{yy} E $이며, 여기서 a는 물질에 의존하는 상수이다. 흥미롭게도, 예측되는 SHE와 ISHE는 실제 실험에서 발견되엇을 수도 있다. 해당 실험에서 사용됐던 non-local measurement가 이 ASHE와 AISHE를 증명하는데 테스트 될 수도 있다. 하지만 AHE에 유도되는 ASHE는 AHE에 의해 유도되는 STT와는 다른 것이다(17).
ASHE와 AISHE는 FM뿐만 아니라 AFM에서도 나타날 수 있는데, 이는 Neel order parameter $\vec{n}$과 연관지을때 그러하다. 그저 단순히 $\vec{M}$을 $\vec{n}$으로 바꾸기만 하면된다.
According to the anomalous SHE and ISHE described above, a charge current along the x directions in a ferromagnetic or antiferromagnetic metal, whose order parameter is collinear with the current, can generate $\vec_{y}^{y}$ and $\vec_{z}^{z}$. Since the y and z direction is open and no sustainable spin current exist, a spin accumulation of <s_y> and <s_z> will occur on the two surface respectively in the z and y direction. Thus, this direction-dependent spin accumulation is another fingerprints of the present theory.
Of course, this spin accumulation is hidden in the main order parameter pointing to the x direction, and how to observe it may be an issue. IT ma be easier to observe the spin accumulation in an antiferromagnet because of zero net magnetization everywhere in the absence of a current.
So far, the predictions are based on the tensor requirement of physical quantities, instead of deriving them from a microscopic Hamiltonian.
One should not confuse the tensor requirement on physical quantities with the symmetry restriction on physical quantities
In summary a theory of anomalous SHEs and anomalous ISHEs
in magnetic materials is presented when the charge-spin interconversion
involves the order parameters, such as the magnetization
in ferromagnetic materials and the Neel order in antiferromagnetic
materials. In particular, spin current js
ii can be
generated by a charge current collinear with the order parameter
and propagating perpendicularly to ^i. Inversely, a charge current
can be generated by a spin current of js
ii along the projection of
order parameter perpendicular to ^i. In other words, no charge
current can be generated when the spin current flow along the
order parameter in this case. Two anomalous spin currents proportional
to the magnitude of order parameter can be generated
by an applied charge current when it is perpendicular to the order
parameter. One of them propagates along the order parameter and
is polarized along the charge current direction. The other propagates
along the charge current direction and is polarized along
the order parameter. For an applied spin current with mutually
perpendicular propagation and polarization directions, a charge
current along the spin current propagation direction is generated
if the order parameter is collinear with the polarization of the spin
current. Also, a charge current along the polarization of spin
current is generated if the order parameter is collinear with the
propagation direction of the spin current. Experimental verifications
are also proposed. A possible mechanism for the anomalous
SHE is also discussed. In terms of applications, one of the great
advantages of anomalous SHE is that one can control the generated
spin or charge current by controlling the magnetization or
the Neel order in the magnetic materials.

has been directly verified by experiments of the anomalous spin torques generated in Mn2Au(Ref8) and is agreement with the details of the observed magnetization-dependent anomalous inverse SHE (AISHE) in the Pt/Co/Pt heterostructure, in TbCo alloys, and in Co/Pd multilayers.

ASHE는 SHE의 한계를 극복할 수 있으며, order parameter에 의해 컨트롤 될 수 있는 spin current를 생성할 수 있다. 특히, ASHE는 전류가 order parameter 방향으로 주입될때, 스핀류의 방향과 스핀의 방향이 서로 평행(반평행)할 수 있음을 보여준다. 이러한 스핀류는 out-of-plane 방향의 anti-damping SOT를 생성하여 SOT-MRAM에서 PMA layer의 field-free switching을 가능케한다.
비록 ASHE에 대한 개념이 널리 알려지긴 했지만, microscopic origin은 아직 밝혀지지 않았다. 최근에, FM과 AFM을 포함한 시스템에서 anomalous spin torques가 발견되었는데, 이를 계산하기 위해 수행된 first-principles calculations이 수행되었지만, 정성적인 symmetry 분석이 한계였으며 ASHE의 intrinsic mechanism을 찾지 못한다면 특정 물질에서 발생하는 anomalous spin torques를 정량적으로 계산하는 것은 요원해보인다.
Using the local spin density approximation theory with the SOI, we investigate the intrinsic ASHE and obtain the following
findings.
(1) The ASHE originates from the orderparameter-induced extra spin-dependent electric field, which generates anomalous spin currents via the SOI.
(2) The anomalous spin Hall conductivity (ASHC), which quantitatively represents the strength of the ASHE, can be well described by the spin Berry curvature.
(3) There is an intrinsic connection among the order parameter, the spin Berry curvature, and the ASHC.
Result
Local spin density approximation theory에 따르면, spin-up 전자와 spin-down 전자의 전하밀도 gradients( $[\vec{\nabla}n^{\uparrow}(\vec{r})]$, $[\vec{\nabla}n^{\downarrow}(\vec{r})]$ 차이에 비례하는position-dep, spin-dep electric field $\vec{E}^{p}(\vec{r})$는 magnetic order parameter $\vec{M}$에 의해 유도 될 수 있다. 이때 magneitzation 에 의해 유도되는 spin-dependent electric field는 conventional electric field와 다르다는 점을 알아두자. Conventional electric field는 다음과 같이 정의된다.

여기서 $H^{\uparrow}$와 $H^{\downarrow}$는 spin-up 전자들과 spin-down 전자들의 Hamiltonian이다.
더욱이, spin-dependent electric field는 spin-up 전자들과 spin-down 전자들 사이의 electric fields의 차이를 나타낸다. Inversion symmetry를 가지는 collinear magnetic structure에서, effectve spin-dependent electric field (averaged over unit cell)는 아래와 같이 0이다.

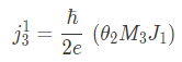
하지만, inversion symmetry가 깨진 곳에서는 $ \vec{E}_{eff}^{p}$는 0이 아닌 값을 가질 것이다. 이때의 $ \vec{E}_{eff}^{p}$항이 SOI를 통해 system의 Hamiltonian에 영향을 끼치는데, 이를 나타내면

spin-up 전자와 spin-down 전자들은 이 $ H_{_{SOC}}^{eff}$에 의해 서로 다른 힘을 받게되고 서로 다른 속도를 갖게된다. 더욱이 위 식은 $\sigma$가 $\vec{E}_{eff}^{p}$와 수직한다면, 직접적으로 ASHE를 만들어낼 수도 있다.
예를 들어, inversion symmetry가 z축으로 깨진 자성 물질을 생각해보자. 이 경우, 아래와 같은 식이 성립하며 0이 아닌 값을 갖는다. 그러므로, SOI를 통해 spin-up 전자와 spin-down 전자 사이에 energy splitting이 발생게 된다. 결과적으로, z방향과 수직한 spin polarization을 갖는 anomalous spin currents가 발생한다. 이때 spin-dependent electric field가 직접적으로 magnetic order parameter $\vec{M}$과 연관된다는 점을 알아두자.
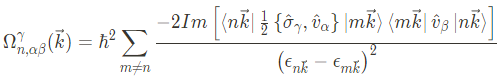
ASHE의 strength는 spin Berry curvature를 통해 정량적으로 묘사가 가능하다. Kubo formula에 따르면, spin Hall conductivity $ \sigma_{\alpha \beta}^{\gamma}$는 아래와 같이 표현 가능하다
* $\alpha$: spin propagation direction
* $\beta$: spin polarization direction
* $\gamma$: external field direction

여기서 $V$는 cell volume이며, $N_{k}^{3}$는 브릴루앙 존 속 k points의 갯수이며, $f_{nk}$는 Fermi-Dirac distribution function, 마지막으로 $\Omega_{n, \alpha \beta}^{\gamma} (\vec{k})$는 band-projected spin Berry curvature이며 아래와 같이 정의된다.

위의 두개의 방정식으로부터, Hall conductivity $ \sigma_{\alpha \beta}^{\gamma}$는 spin Berry curvature $\Omega_{n, \alpha \beta}^{\gamma} (\vec{k})$와 density of states를 통해 band structure에 의해 instrinsically 결정된다.
Conventional SHE의 경우, non-zero $\Omega_{n, \alpha \beta}^{\gamma} (\vec{k})$는 오직 $\alpha$, $\beta$, $\gamma$가 서로 orthogonal 할 때만 존재한다고 기대됐다. 하지만, order parameter를 포함하는 경우를 생각해보면 (아래서 의논 할 예정) 0이 아닌 $\Omega_{n, \alpha \beta}^{\gamma} (\vec{k})$과 더불어 상당한 크기의 ASHE가 세개의 성분 중 두개만 수직해도 가능할 수 있다.
일반적인 Berry curvature 공식 ($\alpha \neq \beta$을 요구함)은 단순히 charge current와 스핀류에 수직인 스핀 방향을 고려함으로써 유도할 수 있다($\alpha \neq \beta \neq \gamma$) spin degree of freedom을 고려하지 않은 경우, Berry curvature는 rank two tensor이다. spin Berry curvature의 경우, rank three tensor로서 $\alpha = \beta$인 경우에도 0이 아닌 값을 갖는다.
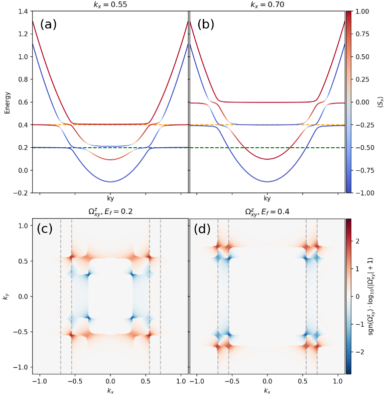
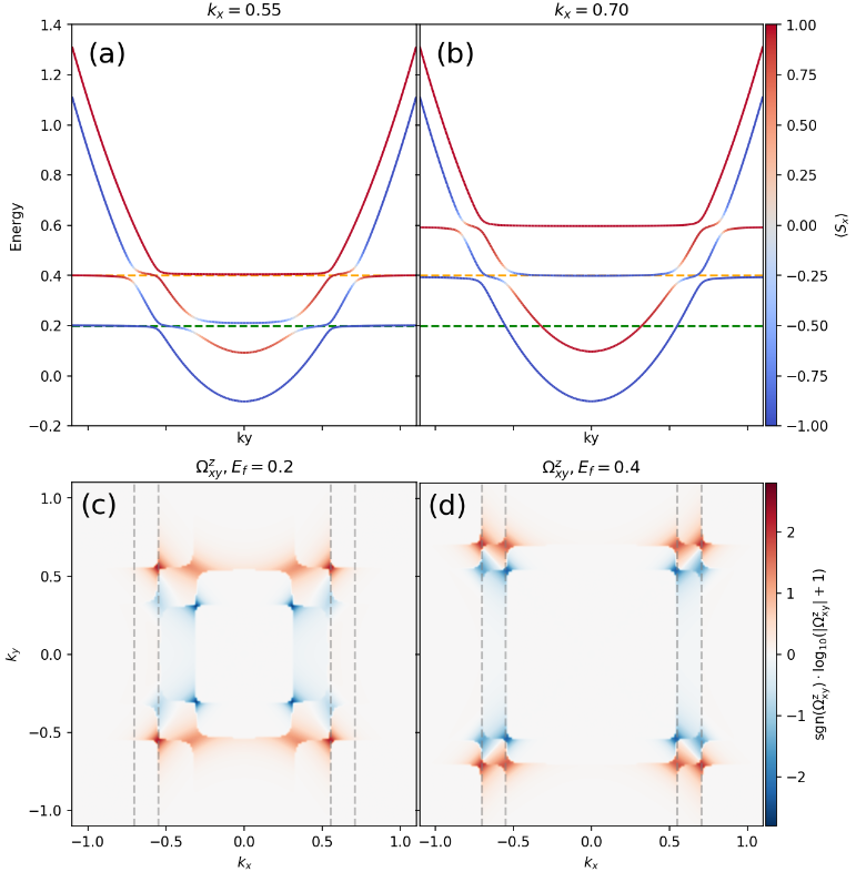
We first consider the tetragonal (TET) $Mn_{2}Au $, for which the non-zero ASHE has been experimentally observed, as an example.
우리는 체계적으로 order parameter, spin Berry curvature, 그리고 ASHE 사이의 intrinsic connection에 대해 보일 것이다. Spin Berry curvature와 SHC(spin Hall conductivity)를 구하기 위해 Density functional theory (DFT) 계산이 수행되었다.
$Mn_{2}Au$의 결정구조와 schematic 브릴루앙 존 diagram은 아래와 같다. 이를 통해 해당 물질이 Neel order parameter $\vec{M}$을 가지는 antiferromagnetic material이라는 것을 알 수 있다.

해당 실험에서 $\vec{M}$은 $\hat{x}$ 방향으로 고정되어 있다. 이 때 가능한 0이 아닌 ASHC는 아래 그림과 같다.

charge current 가
1. x방향일 때 $\sigma_{y}^{y}$, $\sigma_{z}^{z}$
2. z방향일 때 $\sigma_{z}^{x}$, $\sigma_{x}^{z}$
3. y방향일 때 $\sigma_{x}^{y}$, $\sigma_{y}^{x}$
계산된 spin Hall conductivity는 아래와 같다(CSHC for conventional SHC, ASHC for anomalous SHC)

큰 CSHC 값과 비교하여, $Mn_{2}Au$도 상당한 ASHC를 가짐을 확인할 수 있다. 더욱이, CSHC와 ASHC모두 spin polarization, spin propagation, charge current direction에 따라 상당한 anisotropy를 가짐을 확인할 수 있다.이 특징은 anisotropy가 오직 crystalline structure에 따라 좌우되는 conventional SHE와는 매우 다른 것이다.
예를 들어, crystalline structure symmetry의 관점에서 보면 $Mn_{2}Au$는 $\sigma_{x}^{y}$와 $\sigma_{y}^{x}$에서 같은 CSHC 값을 가질 것으로 기대된다. 하지만 전자가 후자보다 무려 3배 더 큰 것을 확인할 수 있으며, 이는 $\hat{x}$ 방향으로 향하는 $\vec{M}$에 의해 fourfold rotational symmetry가 깨졌기 때문이다.
게다가, $\hat{x}$ 방향으로 향하는 $\vec{M}$은 또한 0이 아닌 spin-dependent electric field를 z축의 방향으로($E_{z}^{p}$) 만들어낼 수 있는데, 이는 broken inversion symmetry 때문이다.
위에서 구한 effective SOC Hamiltionian $H_{SOC}^{eff}$에 따르면, 0이 아닌 ($E_{z}^{p}$)는 SOI를 통해 x 방향 또는, y방향을 향하는 spin current를 유도하고 이 역시 ASHC에 기여할 수 있다. (자세한 내용은 Supporting Information 참고). 실제로 우리의 DFT 계산은 spin polarization 방향이 z축일때 보다 x, 또는 y축일 때 더 큰 값을 나타낸다. (z축 polarization을 가지는 ASHC가 0이 아닌 값을 가지는 것은 beyond the scope of the effective field theory discussed above)
6개의 ASHC 성분들 중, 가장 큰 값을 가지는 것은 $\sigma_{y}^{y}|_{\hat{j}_{c} = \hat{x}}$ 으로, conventional counter part $\sigma_{y}^{z}|_{\hat{j}_{c} = \hat{x}}$의 값에 19%에 달한다. 그러므로, propagation 방향과 spin polarization 방향이 서로 collinear한 spin current는 $Mn_{2}Au$에서 충분히 만들어 질 수 있다. 이는 실제 실험과도 일치한다.(https://doi.org/10.1038/s41563-021-00946-z)
The good agreement between our theoretical derivations and the DFT calculations verifies the intrinsic connection among the order parameter, the spin Berry curvature and the ASHE.
For comparison, we calculate the SHCs of bulk Fe in a
body-centered cubic (BCC) structure. As shown in Figure
1(c), although a large M is along the x direction, Ep in this
system is zero due to the inversion symmetry
As discussed in Supporting Information, the exchangecorrelation
potential between the spin-up and spin-down
electrons in the Kohn-Sham equations depends on the magnetic
order parameter (see Supporting Information). Thus,
the spin-polarized DFT calculations under the local spin
density approximation can be used to study the effects of
the order parameter on the exchange interactions and SOIs
[32, 33]. Hence, the calculated electronic structures such as
band structures and wave functions contain the effects of the
order parameter. Because the spin Berry curvature is directly
calculated on the basis of electronic structures (eq. (5)), this
result shows an intrinsic connection between the ASHE and
the spin Berry curvature. In fact, the intrinsic connection between
the spin Berry curvature and the conventional SHE has been well established in previous studies [36-38].
We further compute the k-resolved spin Berry curvatures
for both the CSHCs (Figure 2(a), (c), (e)) and ASHCs (Figure
2(b), (d), (f)) of bulk Mn2Au, Fe, and Pt. A common feature
is that the spin Berry curvatures for the ASHCs are much
smaller than those for the CSHCs, in agreement with the experimentally
established fact that the ASHCs of these materials
are smaller than the CSHCs. In addition, the positive
and negative spin Berry curvatures coexist in the BZ, and the
CSHC and ASHC values are both determined by the sum of
all k points. Thus, although the spin Berry curvature value of
Fe is larger than that of Mn2Au throughout the BZ, its ASHC
is much smaller than that of Mn2Au due to the cancellation
of the positive and negative spin Berry curvatures. This result
also agrees well with the symmetry analysis above.
Berry curvatures for the CSHC are dominated
by regions with large positive values while the ones for the
ASHC are tiny, with an equal weight on positive and negative
values, leading to the largest CSHC and a negligible ASHC
in comparison with those of Mn2Au and Fe. The calculated
Hall conductivities shown in Table 1 are in good agreement surface with the slices. The color code is on a log scale.
with these spin Berry curvature profiles. The above results
clearly show that the spin Berry curvature is intrinsically connected
to the conventional SHE and the ASHE.
4 Discussion and conclusion
The ASHE is not limited to the order parameter in magnetism,
and any order parameter breaking the inversion symmetry
can lead to a nonzero ASHC via the SOI (such an
effect in nonmagnetic materials is denoted as the unconventional
SHE).
Td-WTe2 (Figure 3(a)) breaks the mirror
symmetry with respect to the xz plane and thus leads
to a broken inversion symmetry. The broken symmetry in
this case induces a non-zero conventional electric field in the
y direction (Ey
eff). According to the SOI Hamiltonian presented
in eq. (3), a sizeable unconventional SHE spin current
can still be generated when the spin polarization direction is
perpendicular to y (see Supporting Information). To verify
this, we perform DFT calculations on the spin Berry curvature
and ASHC of WTe2, and the results show that σz
zx =
18.99 (/e)S/cm, reaching 18% of its conventional SHC
counterpart σy
zx [103 (/e)S/cm] [39]. In contrast, we find
that σz
zy has a much smaller value [2.08 (/e)S/cm], which
may be attributed to the indirect interaction between Ey
eff and
vy. This result is consistent with experimental observations, where the field-free switching of perpendicular magnetization
is only observed with the charge current in the x direction
and not in the y direction [14, 40, 41]. In addition, as
shown in Figure 3, the positive spin Berry curvature of σz
zx
is much larger than that of σz
zy. This result confirms the intrinsic
connection between the spin Berry curvature and the
unconventional SHE in nonmagnetic materials. In addition, we discuss the novelty of this work in comparison
with previous studies [19, 20, 42-44]. The notion of the
ASHE was first proposed for spin current generation in ferromagnets
from an AHE induced charge current through the
conventional SHE, (a phenomenon of SHE+AHE) [19, 42,
43]. The ASHE in our study is the result of the combined effect
of the order parameter and the SOI. The physical origins
of the two theories are fundamentally different. Moreover,
the two theories make distinct predictions: the ASHE in refs.
[19,42,43] predicts a non-zero spin current only for the noncollinear
magnetic order parameter and external electric field.
In contrast, the ASHE in this work additionally predicts that
the collinear order parameter and electric current generate a
spin current with a collinear propagation direction and polarization.
The unconventional components of the SHC tensor
are also discussed in ref. [20] from a symmetry restriction
point of view. Their analysis is valid only when the order parameter does not involve spin-charge conversion, in contrast
to the ASHE in this work. In fact, the analysis of ref.
[20] fails to yield the ASHC component in Mn2Au observed
in experiment [8]. In addition, the order parameter dependence
of the conventional SHE and the AHE in ferromagnets
has been recently observed in ferromagnets [44].
In summary, we reveal the nature of the intrinsic ASHE: the ASHE originates from the order-parameter-induced spindependent electric field, which generates a spin current via the SOI. The intrinsic relationship among the order parameter, the spin Berry curvature and the ASHE is also revealed. The effects of the order parameter on the electronic structure lead to a non-zero spin Berry curvature and thus a sizeable ASHE. The order parameter that gives rise to the ASHE is not limited to the magnetic order parameter. Any order parameter that can break inversion symmetry should contribute to the ASHE. This study is expected to provide an efficient way to search for and optimize materials with large
ASHEs, which is particularly important in the design of highperformance SOT spintronic devices.
9. Outlook
대칭성 분석으로부터, 단순한 강자성 도체에서 매우 복잡한 spin current conductivity가 발생함을 보였다. 이 spin current에는 longitudinal, transverse, spin rotationed transverse, inverse effects 등으로 구성되어있다. 이 효과들은 최근 몇년 사이에 이론적으로 formulation됐고 실험적으로 시연됐다. 하지만, 아직 풀리지 않은 문제들이 남아있다.
(1) What are the microscopic mechanisms that give rise to the charge-spin conversion in the ferromagnetic metal: is the longitudinal spin-charge conversion solely a bulk effect and sharing a same microscopic origin as the anomalous Hall effect? What governs the transverse spin Hall effect, interface or bulk? How does disorder in the system influence the generation of spin current in the ferromagnetic metal? What type of material engineering can enhance or suppress these effects?
(2) Like the studies on the spin Hall effect and inverse spin Hall effect in nonmagnetic materials, interface transparency plays a very important role. What is the appropriate model for the propagation of spin current within a ferromagnet, particularly for transversely polarized spin current?
(3) Ferromagnetic conductors are ubiquitous in many fields of spin-orbitronics, but the transverse spin Hall effect, which generates transversely polarized spin current from the ferromagnet itself, were often neglected. Will the newly discovered spin-orbit effects in ferromagnets challenge previous understandings of spin-orbit effects, such as spin-orbit torque and spin pumping-spin galvanic effect [7]?
강자성 도체에서 발생하는 spin-charge conversion은 또한 새로운 기회를 제공한다. 전통적으로 비자성 물질들이 주로 spin current의 source로서 사용되어 왔다. Spin Hall effect의 기하학, 그리고 대칭성의 한계 때문에 film의 수직 방향으로 흐르는 스핀류의 polarization 방향은 대부분이 in-plane으로 한정됐었다. 하지만 이 한계는 강자성체의 자화를 이용해 해결해나갈 수 있다. Film의 out-of-plane 방향으로 polarization 된 spin current는 자성 메모리 뿐만 아니라 domain wall과 skyrmion manipulation, 그리고 자성 nano-oscillator에서도 새로운 소자 디자인을 가능케 할 것이다. The investigation of charge-spin conversion in nonmagnetic materials have led to the discovery of new transport behaviors such as the spin Hall magnetoresistance [98,99]andunidirectional spin Hall magnetoresistance [100].
Very recently, the anomalous Hall magnetoresistance [101]hasalso been discovered, which is directly correlated with the longitudinal spin Hall effect of the ferromagnet. We expect that a comprehensive understanding of chargespin conversion in ferromagnetic conductors will lead to the discovery of more unique transport behaviors.
참고 문헌
(1) A. Davidson et al. Perspectives of electrically generated spin currents in ferromagnetic materials. Physics Letters A 384 (2020) 126228 https://doi.org/10.1016/j.physleta.2019.126228
I. IN THE BULK
Centrosymmetric한 FM의 bulk 영역에서 spin current를 만들어내는 mechansim에 대해 알아보고자 한다.
첫번째로는 FM에서 잘 알려진 Hall effect인 spin-polarized version에 대해 고려한다(anomalous Hall effect, planar Hall effect). 이 spin-polarized current는 magnetization에 정렬된 spin 방향을 갖고 있다. 그 후에, 어떻게 자화와 수직한 spin을 갖는 spin current가 extrinsic mechanism, 그리고 intrinsic mechanism을 통해 만들어지는지 논의할 것이다.
일반적으로, intrinsic mechanism과 extrinsinc mechanism 자화와 평행하거나 수직한 방향의 스핀 polarization을 갖는 spin currents를 만들어낼 수 있다. 1880년 Edwin Hall에 의해 발견된 anomalous Hall effect(AHE)는 오늘날 연구되고 있는 수많은 spin-orbit effects들을 선행했다. AHE는 강자성 도체에서, FM내 자화에 의존하는 Hall effect에 대해 설명한다. 이후 한 세기 이상의 연구 노력을 통해, AHE를 만들어내는 microscopic mechanism에는 intrinsic mechanisms(Berry curvature of the electronic structure)과 extrinsic mechanisms(skew and side jump scattering off impurities)가 모두 존재한다는게 정설로 받아들여졌다.
Anomalous Hall conductivity(AHC)에 대한 이 두 mechanism들의 상대적인 기여도는 매우 광범위하게 연구됐다. 기본적으로 conductivity가 높은 영역(��≫1)에서는 extrinsic mechansim이 우세하며, intrinsic mechanism은 moerate conductivity 영역 (��≈1)에서 우세하고, low conductivity 영역 (��≪1)에 대해서는 아직 완벽한 이해가 되지 않은 상태이다. (* 여기서 �은 mean free pat이며, �는 lattice constant이다.)
우리는 우선 ferromagnet에서 impurity scattering (extrinsic mechanism)에 의해 발생하는 anomalous Hall response에 대해 묘사하고자 한다. 이는 semiclassical theory를 이용해 이해할 수 있다. Zhang 연구팀은 drift-diffusion model을 이용하여 anomalous Hall effect를 특별한 케이스의 spin Hall effect로 볼 수 있음을 보였다. 이는 아래 Fig. 5(a)에 나와있다.

강자성체에서, majority spin과 minority spin의 밴드 구조는 상당히 다르다. 이로 인해 두 스핀의 spin Hall conductivity (�↑��, �↓��)역시 다른 값을 갖게 된다. 그러므로, anomalous Hall current density는 다음과 같이 나타낼 수 있다.

전류밀도와는 다르게, AHE또한 스핀류 밀도를 생성하며, 이는 아래와 같이 쓸 수 있다.

Note that we have written the spin current density in units of charge current density for ease of comparison with charge-based effects.
이 이론적 모델은 비자성체에서 발생하는 spin Hall effect처럼 강자성체에서도 전기장에 수직한 방향으로 흐르는 스핀류를 만들어낼 수 있음을 보여준다. 이 모델에 적용되는 중요한 가정은 자화와 collinear한 spin states만이 고려된다는 것이다. 그러므로, 해당 모델에서 스핀의 방향은 반드시 자화와 평해앻야 한다. 이와 비슷한 이율르 기반으로, Taniguchi 연구팀은 이론적으로 자화가 스핀류의 스핀 방향을 컨트롤하는데 있어 추가적인 방법이 될 수 있음을 예언하였다. 해당 연구는 extrinsic mechanism을 고려하였으며, 자화와 수직한 방향의 스핀 성분들은 Fig 1 처럼 서로 다른 Bloch waver vector를 가지는 eigenstates들의 superposition으로 그려진다. 강력한 spin dephasing 때문에, Taniguchi 연구팀은 AHE에 의해 생성된 스핀류는 반드시 자화와 평행하게 polarized 되어야 한다고 주장했다. 그러므로, 자화가 out-of-plane component를 가지고 있을때, Fig.5(a)처럼, spin-polarized anomalous Hall current 역시 out-of-plane spin component를 가지고 있어야 한다. 해당 모델에서 스핀류의 크기는 ����에 비례한다. (여기서 ��, ��는 차원이 없는 magnetization component이다) ��성분은 AHE의 magnetization dependence를 보여주며, ��는 spin polarization의 out-of-plane 성분을 보여준다. Out-of-plane spin 방향을 가지는 스핀류는 perpendicular SOT-MRAM 에서 field-free switching을 하는데 응용될 수 있을 것이다. AHE와는 별개로, Taniguchi 연구팀은 또한 planar Hall effect (arises from the anisotropic magnetoresistance)도 스핀류를 만들어냄을 보였다. Planar Hall current는 마찬가지로 전기장에 수직방향으로 흐르지만 자화가 전기장에 수직이거나 수평일때는 이 효과가 사라진다. As illustrated in Fig. 5(b), planar Hall current는 반드시 spin-polarized 되어야 하며, 이때 발생하는 스핀류의 크기는 ������에 비례하는 것으로 예상된다 for flow along y and spin polarization along z.
지금까지 논의된 강자성체속의 스핀류는 전하 기반의 Hall effect에서 유도 되었으며, Hall currents가 자화와 평행/반평행한 스핀 성분만 가진다는 전제하에 진행됐다. 하지만 Curie's principle을 기반으로 한 symmetry arguments에서 제시된 다양한 스핀류에 비해 우리가 지금까지 논의한 전제는 너무 제한적이다. 그러므로 위에서 설명한 picture를 확장하여, 현재까지 연구된 microscopic mechanism의 일부를 논의하고자 한다. 이 microscopic mechansims들은 spin planar Hall current가 자화와 수직한 방향의 스핀 polarization을 가질 수 있음을 밝히며, anomalous spin Hall currents는 반드시 추가적인 spin Hall 성분들을 가져야 함을 주장한다. 또한 spin swapping은 전에 알려진 효과들의 spin-dependent generalizations에서는 포착하지 못한 새로운 현상을 만들어 낼 수 있을 것이다.
Amin 연구팀은 ab-inito based tight-binding model을 이용하여, single ferromagnetic layer가 전기장과 수직한 spin current를 만들어냄을 보였는데, 특이한 점은 이때 스핀류의 spin polarization 방향이 �→ 뿐만 아니라 �→×(�→×�→) 방향도 존재 할 수 있다는 것이다. (여기서 �는 spin flow direction이다). 전자는 spin-polarized planar Hall effect라 할 수 있을 것이다. 하지만 �→×(�→×�→) 방향은 symmetry argument에 의해서 가능한 항이다. 레퍼런스 11번에서는, 이 수직한 방향으로 polarized된 spin current의 발생이 spin-orbit field에 의한 자화와 eigenstate spin의 misorientation 때문이라고 주장한다.
레퍼런스 14번이 Eq. (1)에서 제시한 모든 스핀류를 반영하지 못함을 주목하자 because the effect of the electric field is limited to a perturbation in the occupation of carriers. Skew scattering, side jump scattering, 그리고 electronic 파동함수의 perturbation과 연관된 impurity potnetial이 무시되었으며, 이로인해 SHE와 AHE를 발생시키는 extrinsic, 그리고 intrinsic mechancism이 제거됐다. 그럼에도 불구하고 레퍼런스 14번에서의 transport calculation은 bulk spin current generation, interfacial spin current generation 둘 다 상당한 값을 가질 수 있음을 밝혔다. 놀랍게도, �→×(�→×�→) 방향의 spin polarization을 가지는 spin planar Hall effect는 Co에서 3000Ω−1��−1의 값을 가지는 것으로 계산 됐으며, 이는 �→방향의 spin polarization의 값보다 거의 3배 더 큰 값이다.
다음으로, 우리는 AHE의 기저에 깔려있는 intrinsic mechanism이 우리가 지금까지 묘사했던 메커니즘과 어떻게 다른 방식으로 스핀류를 만들어내는지 보고자 한다. AHC의 intrinsic contribution은 평형상태에서 채워져있는 electronic states의 Berry curvature의 항으로 표현될 수 있다. 이와 동일하게, AHE는 전기장에 의한 전자 파동함수의 perturbation으로 볼 수도 있으며, 이를 통해 전기장과 수직방향의 전류 생성을 야기할 수 있다. Perturbed 파동함수는 같은 Bloch wavevector �→ 를 가지는 Bloch states의 linear combination으로 나타낼 수 있다. 이는 직류 전기장 perturbation의 long wavelength limit의 결과이다 (e.g. the limit q → 0, where q is the wave vector of the electric field): 운동량 보존은 같은 k를 가지는 states 사이의 interband coupling을 가능케한다.
the sentence "momentum conservation imposes interband coupling between states with equal k" means that when two states with the same momentum wavevector k interact, momentum conservation requires that there must be a transfer of momentum between them. This interaction is referred to as interband coupling, which describes the process by which electrons in different bands interact with each other. This is a fundamental principle in solid-state physics, which underlies many important phenomena in condensed matter systems.
AHE에 대한 가장 큰 contribution은 비슷한 에너지를 가지는 occupied states와 unoccupied states 사이의 interband coupling으로 부터 온다. 이 states 쌍이 서로 반대의 spin 을 가진다면(다시 말해, SOC에 의해 strongly modified 된다면) interband coupling은 전기장과 수직방향으로 스핀류를 만들어내며 이때 스핀 polarization 방향은 자화와 수직할 수 있다. 이 states는 dephasing과는 무관한데, 이는 한개의 Bloch wavevector �→를 가지기 때문이다. 전이금속의 강자성체에서 AHE에 대한 상당한 intrinsic contribution은 ferromagnets에서의 ASHE에도 큰 영향을 끼칠 수 있음을 암시한다.
Recent first-principles calculations of the magnetization-dependent intrinsic spin current conductivity in Co, Fe, and Ni confirm that this is indeed the case [36,37]. Ref. [36]showed that the intrinsic contribution is well-described by Eq. (1)forcubic crystals Fe and Ni, where σ‖ and σ⊥ are well approximated as magnetization-independent parameters.
The magnitude of the computed spin Hall conductivity components are given by σ‖ = 100, σ⊥ = 519 for Fe, and σ‖ = 960, σ⊥ = 1688 for Ni (all values given in units !/2e ['−1 · cm−1]. Hcp Co is not as well-described by Eq. (1)becauseof its substantial crystal anisotropy.
Note that the authors find that the intrinsic contribution to σ R ⊥ vanishes for all materials. The σ R ⊥ term vanishes because it must be odd under time-reversal, which can be seen through inspection of Eq. (1) and noting that the spin current and electric field are even under time-reversal. If a force and response transform differently under time-reversal, the physical mechanism requires dissipation [47].
The intrinsic mechanism is dissipationless and therefore returns a vanishing conductivity σ R ⊥. The top panels of Fig. 6 show the band structure of Fe near the Fermi level while the bottom panels show plots of the relevant charge and spin conductivity parameters. The pair of opposite-spin bands shown in Fig. 6 results in a peak in σ⊥ (labeled “opp” in the figure), while like-spin bands result in peaks in σ‖ and σAHE (labeled “min” and “maj” in the figure). In general, σ⊥ results entirely from interband coupling between spin-opposite bands, σAHE results from coupling between spin-like bands, and σ‖ has contributions from coupling between both spin-opposite and spin-like pairs.
The dependence of these conductivities on the spin character of the coupled bands shows that, unlike the extrinsic case described by Zhang, there is not a simple relation between the intrinsic anomalous Hall conductivity and longitudinal spin Hall conductivity as described by Eqs. (3)and(4). This can be understood by noting that spin-opposite band pair contributions cannot be associated with a majority or minority conductivity. So far, we have discussed how charge-based Hall effects generalize to spin-dependent effects in ferromagnets.
하지만 강자성체와 비자성체 물질 내에서 전기장을 이용하여 간접적으로 스핀류를 생성하는 다른 방법도 존재한다. Lifshitz와 D'yakonov는 스핀류가 비자성체 물질에 주입될 때, impurity scattering이 발생하여 다른 방향으로의 스핀류를 새로이 만들어냄을 예측했다. 만약 주입된(또는 초기의) 스핀류의 흐름 방향과 spin polarization 방향이 서로 다르다면, 새로 만들어지는 스핀류는 스핀의 방향과 흐름의 방향이 swapped 될 것이다. 이러한 이유로 이 효과는 "spin swapping"이라 불린다. 예를 들어, 주입딘 스핀류의 방향이 x방향이면서 y방향의 spin polarization을 갖는다면, spin swapping current는 y방향으로 흐르면서 spin의 방향은 x방향을 향할 것이다. 만약 주입된 스핀류의 방향과 spin polarization의 방향이 같다면, 발생하는 spin swapping current 역시 같은 방향을 가지면서 x축에 수직인 y방향 또는 z방향을 갖게 될 것이다. 이 효과는 앞서 말한 것과 같이 Lifshitz와 D'yakonov에 의해 예견되었으며 원리는 impurity scattering이 될 것이다. 이에 대한 intrinsic analogue는 Sadjina 연구팀에 의해 소개됐다. 계면에서의 spin-orbit scattering 또한 spin swapping effect를 야기할 수 있다. Lifshitz와 D'yakonov에 의한 spin swapping의 original proposal은 비자성 물질에 집중하였다. primary spin current를 주입하기 위해, 저자들은 자화가 존재하는 강자성체에 전류를 흘려 한쪽으로 정렬된 스핀을 가지고 있는 전자들이 spacer material을 통하여 비자성체 layer에 주입되게끔 하였다. 또 다른 대안은 single ferromagnetic layer이다. 이 layer안에서 spin-dependent scattering을 통해 spin polarized current가 만들어질 것이고, 이 전도전자 스핀류이 spin-orbit scattering을 통해 spin swapping current를 만들어낼 것이다. 이것은 모두 한 물질 내에서 일어나는 것이다.
하지만, 이 자화와 수직방향의 spin polarization 방향을 갖는 spin swapping current가 측정되기 위해서는 dephasing으로부터 살아남아야 한다. Ortiz Pauyac, Chshiev 연구팀은 quantum kinetic approach를 이용하여 강자성체 내에서 자화와 수직방향의 spin polarization을 갖는 스핀류가 impurity scattering을 통해 만들어질 수 있음을 보였다. 여기에 작용하는 microscopic mechanism에는 side jump, skew scattering, spin swapping, spin relaxation, Larmor precession 등이 포함된다.

Fig. 7에 나와있듯이, y축으로 자화가 정렬되어 있을 때 전기장이 x방향으로 인가되면, x방향으로 흐르는 전자는 자황에 의해 y방향으로 spin polarization을 갖는다. Spin swapping effect는 y방향으로 흐르면서 x방향으로 spin polarization을 갖는 스핀류를 만들어낸다. 이 스핀류만이 edge 부근에 x축 편광된 스핀축적을 만들어낼 수 있다. 하지만, 자화를 축으로 발생하는 spin precession때문에 x축 편광 뿐만 아니라 z축 편광도 이에 더해 발생할 수 있다. Skew scattering, 그리고 side jump는 z축 편광을 가지면서 y방향으로 흐르는 스핀류를 만들어낸다. 하지만 이 역시 자화를 중심으로 한 spin precession에 의해 x축 편광도 생성해 낼 수 있다. Fig. 7(d)에는 이에 대한 알짜 효과를 나타냈는데, 일반적으로 알려진 spin Hall 방향 (z-component)에 더해 rotated spin orientation (x-component spin)에 의한 스핀 축적도 나타냈다. Note that the competition between dephasing and spin-orbit scattering determines how far from the interface these spin accumulations survive. Strong dephasing could greatly reduce spin swapping effects deep within the bulk of the ferromagnet.
II. AT FM/NM INTERFACES
강자성체의 bulk 특성이 전기적 스핀류 생성을 가능케 하는 반면에, FM/NM 계면에서의 broken symmetry는 추가적인 효과를 가능케 한다. Rashba-Edelstein effect는 이에 대한 대표적인 예로, 계면에 electric field-induced 스핀 축적을 가능케 한다. 이론적으로 계면에서 생성되며 계면에 수직방향으로 흐르는 전기적-생성 스핀류를 조사하기 위해서는, 계면 부근의 영역에 대한 3차원 treatment를 필요로 한다. 이러한 3차원 treatment는 Rashba-Edelstein effect를 연구하는데 일반적으로 고려하는 것은 아니다, 그럼에도 불구하고 3차원 spin transport에 있어서 계면에서의 SOC는 최근 많은 관심을 끌고 있다.
이후에 저자는 In the following, we discuss how interfaces modify incident spin currents, and how charge-spin conversion occurs at interfaces through spin swapping and spin-orbit scattering (i.e. interface-generated spin currents). One way in which ferromagnet/nonmagnet interfaces can modify spin currents generated in bulk layers is via the exchange interaction. For example, when a spin current traversing the nonmagnetic layer reaches the interface, the scattered spins will precess due to the exchange interaction at the interface. The transmitted spins will dephase due to the bulk exchange interaction in ferromagnets while the reflected spins will have rotated relative to the incident spins. The reflected spin current has a spin direction with the following components: m × (m × s), m × s, and m, where s is the direction of the incident spins. In the following, we consider only the first two components, which are both transverse to the magnetization. The amplitude of the transverse spin reflection can be succinctly parameterized by a complex-valued interface conductance, called the spin mixing conductance [58,59], where the real and imaginary parts describe the reflected spins along the m × (m × s) and m × s directions respectively. More precisely, if the interface is located at z = 0, with the nonmagnet at z < 0andthe ferromagnet at z > 0, then the spin mixing conductance relates the spin accumulation at the interface but just within the nonmagnet (z = 0−) to the total spin current (incident plus reflected) at the same location: Q z = Gmixμs. (5) Here, we momentarily depart from previous conventions and allow all variables in Eq. (5)tobe complex-valued. Eq. (5)onlydescribes spin directions oriented transversely to the magnetization. The spin current Q z flows out-of-plane (z-direction) and the real and imaginary components of Q z are the two components of the spin direction transverse to the magnetization. The real and imaginary components of the spin accumulation μs likewise describe the two components of spin accumulation transverse to the magnetization. The real part of Gmix describes the component of spin current with spin direction along m × (m × s) while the imaginary part of Gmix describes the spin direction along m × s. Note that in this model, the transverse spin accumulation and spin current in the ferromagnet are assumed to vanish due to dephasing, so only the spin accumulation and spin current in the nonmagnet are relevant for transport. The spin mixing conductance describes the modification of spin currents incident to nonmagnet/ferromagnet interfaces but does not describe any direct coupling to an external electric field. Thus, the relevance of the spin mixing conductance here is limited to cases where an electric field generates a spin current and the spin mixing conductance modifies that spin current at an interface. A notable example occurs in heavy metal/ferromagnet bilayers driven by an in-plane electric field, where the spin Hall effect generates a spin current in the heavy metal flowing out-of-plane and the spin mixing conductance modifies that spin current near the interface. The incident spin current has spin direction s = z × E and the reflected spin current has components of spin direction along m × (m × s) and m × s, where the strength of these components are mostly determined by the real and imaginary parts of the mixing conductance respectively. In nonmagnet/ferromagnet bilayers under an in-plane electric field, spin swapping also results in spin currents with spin direction s′ = m × s, as was outlined by Saidaoui and Manchon [60]. A simple way to understand the role of spin swapping follows by assuming the magnetization points along the z-direction. If the applied electric field is along the x-direction, then the spin-polarized current in the ferromagnet flows along x and has spin direction along z. If some of this current enters the nonmagnetic layer, the resulting spin swapping current has flow along z and spin direction along x, which can be written as s′ = m × s where s = z × E as before. In general, electrons carry a spin polarization along −m in the ferromagnet, and one can show that those electrons which scatter into the nonmagnet experience a net spin-orbit field along s from impurities via spin swapping. This causes the electron spins along −m to precess about the effective spin-orbit field s, yielding a new component of spin polarization along s′ = m × s. This effect vanishes if the nonmagnet layer is greater than a mean free path, so spin currents generated in this manner cannot fully traverse nonmagnetic layers greater than a mean free path [60]. Both effects described above rely on the presence of spin-orbit coupling in the nonmagnetic layer and assume that spin-orbit coupling is negligible at the interfaces. However, spin currents can be generated via electric field through coherent spin-orbit scattering at interfaces. For nonmagnetic interfaces, Linder and Yokoyama [61]demonstratedthat a charge current injected perpendicular to an interface (z) generates a spin current that flows in a direction f parallel to the interface plane with spin direction f × z. This process is loosely analogous to the bulk extrinsic spin Hall effect, where the role of the impurity has been replaced by the interface. Spin current generation at interfaces was later explored in nonmagnet/ferromagnet bilayers by Amin and Stiles [49,50]underdifferent assumptions than [61], in which the electric field is parallel to the interface plane and generates a spin current flowing perpendicular to the interface plane. In their work, these “interfacegenerated spin currents” were shown to exert spin torques on the ferromagnetic layer. Furthermore, the presence of the ferromagnet breaks additional symmetries as compared to nonmagnetic interfaces, enabling spin currents pointing in all directions.3 Together with Zemen [14], the strength of interface-generated spin currents were calculated using tight-binding models fitted to ab-initio band structures for Co/Pt, Co/Cu, and Pt/Cu interfaces. Note that the Pt/Cu system is nonmagnetic, and symmetry dictates that the interface-generated spin current must have spin direction along s = z × E. For the nonmagnet/ferromagnet interfaces, like Co/Pt and Co/Cu, symmetry dictates that an arbitrary magnetization direction leads to a spin current with spin direction in three directions: s = z × E, m × s, and s × (m × s). Fig. 8(a) depicts the allowed interface generated spin currents in these systems. Interface-generated spin currents have been confirmed by Freimuth et al. [62]usingmore sophisticated density functional theory calculations. Because these spin currents arise from coherent spin-orbit scattering at interfaces, they are not restricted by the thickness of the nonmagnetic layer like the spin swapping effect above [60], and could in principle traverse nonmagnetic layers greater than a mean free path. However, interface-generated spin currents do scale with the conductivities of the bulk layers, unlike intrinsic effects which are independent of the impurity concentration [14]. Using toy models provides some intuition about the physical origin of interface-generated spin currents. Consider a simple model in which both the nonmagnet and ferromagnet are modeled as free electron gasses with identical, spherical, spin-independent Fermi surfaces. In the ferromagnetic layer, the imbalance of majority and minority carriers enters through a spin-dependent nonequilibrium occupation of carriers. The spin-dependent interfacial potential is given by V(r) ∝ δ(z)(u0I2×2 + uR σ · ( ˆ k׈ z)) where u0 gives the spin-independent barrier, uR is the scaled Rashba parameter, σ is the vector of Pauli matrices, and ˆ k is the incident wavevector. In this case, the general form of the interface-generated spin current simplifies considerably and can be described by two effects: spin-orbit filtering and spin-orbit precession. As shown in Figs. 8(b-c), electrons with wavevector k scattering off the interface will briefly interact with a Rashba spin-orbit field given by u(k) = z × k. Spins that are aligned or antialigned with u(k) have different reflection and transmission probabilities; in this scenario u(k) behaves a k-dependent spin filter, which describes spin-orbit filtering. Spins that are misaligned with u(k) will additionally precess upon scattering, which describes spin-orbit precession. The combination of these two effects fully describes the spin current generated by spin-orbit scattering at the interface in this simple model, where spin-orbit filtering yields a spin direction s and spin-orbit precession yields a spin direction m × s. The transport calculations in Ref. [14]revealthat the conductivities describing interface-generated spin currents with spin direction along s, m × s, and s × (m × s) are significant, sometimes exceeding 1000 '−1cm−1 at both Co/Pt and Co/Cu interfaces. This suggests that interfaces are important sources of spin current that could compete with spin current generation from bulk layers. Another interesting interfacial spin-orbit effect at the interface is the spin memory loss [63,64], which is particularly significant at the interface between 3d and 5d transition metals. The interface spin memory loss provides an additional channel for spin relaxation, and plays an important role in the analysis of spin pumping and spin-orbit torque effects [65–67].
'Spin Hall Effect in Ferromagnets' 카테고리의 다른 글
| Origin of the magnetic spin Hall effect: spin current vorticity in the Fermi sea (0) | 2025.03.20 |
|---|---|
| Microscopic Picture of the MSHE (0) | 2024.07.31 |
| DERIVATION OF REFLECTIONAND TRANSMISSION MATRICES (0) | 2024.04.23 |
| Interfacial spin-orbit coupling (0) | 2024.04.05 |
| The Spin Hall Effect (0) | 2023.10.30 |
댓글