참조문헌
[1] GENERATION OF SPIN CURRENT AND MANIPULATION OF MAGNETIC MOMENT IN MAGNETIC THIN FILM HETEROSTRUCTURES, Yongxi Ou
1. Magnetoelectronic circuit model
NM/FM heterostucrion에서의 non-local spin transport 프로세스는 magnetoelectronic circuit model을 이용하여 효과적으로 설명할 수 있다. 아래 Fig.1. 에 나와 있듯이, NM(node로 표시)은 여러 다양한 FM(reservoir로 표시)에 연결되어 있으며, 각각의 FM reservoir 속의 chemical potential이 서로 같지 않을 때, NM node는 non-equilibrium spin population을 갖는다.

S-space(스핀 스페이스)에서, spin current 파트를 포함했을 때, NM 노드 속 contact 부근 근처에서 에너지 $\epsilon$에서의 에너지 인터벌 당 전류 $\hat{i}$는 $2\times2$ 행렬로 아래와 같이 나타낼 수 있다.

위 식에서 $\hat{f}^N(F)$는 NM(FM)에서의 Fermi distribution이며, M은 propagating channel, 그리고 $\hat{r}$, $\hat{t}$는 각각 reflection matrix, tansmission matrix이다.
여기서 아래의 정의를 이용하면

위의 전류 식은 아래와 같이 수정할 수 있다.



여기서 $G^{\uparrow\downarrow}$는 복소수양이며, 아래와 같이 개별적으로 표현된다.

Green function을 기반으로한 이론적 계산에서는 전형적인 NM/FM 구조에서 $G_r \ll G_i$ 임이 증명됐다. 때때로 spin mixing conductance는 또한 아래와 같이 normalized conductance로 쓰이기도 한다.

Spin mixing conductance는 spin polarization $\vec{s}$가 magnetization $\vec{m}$과 non-collinear할 때의 spin transport process를 묘사하며, NM/FM 계면에서 스핀의 축적이 같지 않을때의 spin current를 평가하는데 사용된다.
Spin accumulation은 일반적으로 아래의 공식을 이용하여 계산된다:

위 식의 analytical form은 구조의 boundary condition에 달려있다.
2. Example: Spin Pumping
Magnetoresistance circuit 모델과 spin mixing conductance의 개념은 dynamic spin process를 묘사하는데 응용될 수 있다. 좋은 예는 스핀펌핑 현상이며, 여기서 magnetoresistance circuit theory는 강해진 Gilbert damping에 대해, 이전 NM/FM heterostucruc에서 발견된 값보다 더 명확한 설명을 제공한다.
전형적인 spin pumping 실험(Fig.2.2.에 묘사된 것처럼)에서는, magnetization $\vec{m}$은 외부 자기장에 의해 excitation된다. resonance 조건에서, $\vec{m}$은 유효 자기장을 중심으로 세차운동을 하게된다. 결과적으로, 스핀류 $I_s^{pump}$가 FM으로 부터 펌핑되어 나온다.

위 방정식에서, $\vec{m}$은 LLG 방정식을 따르는 자화의 dynamic vector이며, spin pumping conductance $A=A_r+iA_t$는 spin mixing conductance와 같은 역할을 한다. (만약 FM이 충분히 두꺼운 경우, $A=g^{\uparrow \downarrow}$.

NM/FM 계면에서 발생하는 spin accumulation에 의한 spin backflow를 고려하면, 총 spin current는 spin pumping current에 비례하는 꼴로 나타날 것이다. (이때 일반적으로 spin mixing conductacne의 imaginary part는 무시된다)

FM에서 펌핑되어 나와 NM으로 injection되는 알짜 spin current는 spin torque $\vec{\tau}$($\sim - \vec{I}_{s}$)를 수반하며 이는 FM에 영향을 끼친다. 이를 LLG 방정식에 집어 넣으면, 스핀펌핑으로부터 발생하는 이 토크가 Gilbert damping을 강화시킨다는 것을 어렵지 않게 확인할 수 있다.
이것이 BM/FM 박막 이중구조에서 발생하는 enhanced Gilber damping에 대한 스핀 펌핑 모델이며, 이는 interfacial 효과이다.
Notice that the enhanced damping constant is expected to be proportional to the inverse of the FM thickness, since it is an interfacial effect.

3. Dependence of the interfacial transparency of spin-orbit torque in the thin film heterostructures
3.1. Derivation of the spin torque expression in a NM/FM bilayer system
이 섹션에서, 우리는 NM/FM bilayer에서 SHE에 의해 발생하는 spin torque의 analytical expression을 spin diffusion mdoel을 이용하여 유도할 것이다.

위와 같은 scheme에서, charge current $j_c$가 x-축으로 향하고 있다고 가정하자. SHE 시나리오에서, charge current는 수직한 spin current를 만들어낸다. 이 경우, z축으로 흐르는 스핀류는 y축과 평행한 spin polarization을 가짐을 추측할 수 있다.
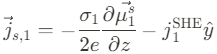
그러므로, NM1에서 발생하는 SHE는 아래와 같은 스핀류 $j_1^{SHE}$를 만들어낼 것이다: (아래 식에서 벡터는 spin polarization 방향이다)

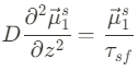
이 스핀류는 NM1 내에서 spin accumulation distribution $\vec{\mu}_1^s$를 만들어 낼 것이고, 아래의 diffusion equation을 만족한다.

위 식에서 $D$는 전도 전자의 diffusion coefficient이고, $\tau_{sf}$는 NM1에서의 spin-flip time이다. 여기서 우리는 $\vec{\mu}_1^s$의 세차 운동 주파수 $\omega$에 대해서 $\omega \tau_{sf} \gg 1$임을 가정할 것이다.
위 방정식은 아래와 같은 general solution을 갖는다.

여기서 $\lambda_1 = \sqrt{D\tau_{sf}$는 NM1 속에서의 spin diffusion length이다.
NM1 속에서의 총 스핀류 $\vec{j}_{s,1}$은 SHE에 유도된 스핀류와 spin accumulation에 의해 나타나는 diffusive 스핀류의 합이다.

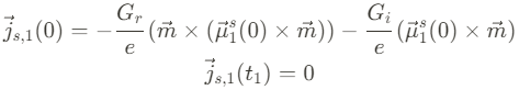
Fig.1.3에서 알 수 있듯이 두개의 boundary condition $z=0$(NM/FM interface), $z=t_1$을 고려하면,

Notice that in the boundary condition Eq.(2.11), we ignore the component of the spin current that has the spin polarization along the magnetization m, since the component will not contribute to the torque.
더 나아가 spin mixing conductance의 imaginary part($G_i$)가 real part($G_r$)보다 매우 작다는 것을 가정하고, general solution을 구하면 NM/FM interface에서의 spin current는 아래와 같이 구할 수 있다.

위 방정식에서 $G_1 = \sigma_1/\labmda_1$이다. 위의 spin current는 두께 $t_{FM}$을 가지는 FM으로 injection 되어 자화에 torque를 작용시키는데, 이때 값은 아래와 같다.

위의 방정식에 우리가 구한 스핀류 공식을 대입하면,

위의 토크는 damping-like torque라는 것을 알아두자. $G_i$의 크기에 의존하는 field-like torque의 경우, 이와 비슷하게 유도할 수 있다. 다른 방법으로, spin-pumping 실험에서, enhanced damping은 매우 비슷한 방법으로 계산할 수 있다.

3.2 Interfacial spin transparency and spin memory loss
우리는 위의 토크로 부터 (damping-like) spin-torque efficiency ($\xi_{DL}$)을 정의할 수 있다.

Spin-torque efficiency는 SHE 실험등에서 측정하는 값으로, spin torque의 크기로부터 SHE의 세기를 알아 볼 수 있다. 위 efficiency을 통해 일반적으로 spin-torque efficiency가 internal spin Hall angle보다 작으며, interfacial spin transparency가 그 비율을 결정한다는 것을 알 수 있다.

Interfacial spin transparency의 개념은 NM/FM 구조에서 interface의 중요성을 강조한다. 왜냐하면 FM에 가해지는 알짜 스핀 토크는 $T_{\mathrm{int}}$에 의해 제한되기 때문이다. 다시 말하자면, $\xi_{DL}$은 언제나 internal spin Hall angle 보다 작은 값을 갖는데, 이 이유는 $T_{\mathrm{int}}<1$ 이기 때문이다.
위의 증명은 NM/FM 계면에서 추가적인 spin relaxation이 없음을 가정하고 진행됐다. 하지만 분명 실제 계면에서는 모종의 spin relaxation 과정이 발생할 수 있으며, 이는 일반적으로 spin memory loss (SML)효과라 일컬어진다. SML은 NM과 FM 사이에 매우 얇은 레이어 (두께 $t_I$, spin diffusion length $\lambda_{s,I}$)로 모델링되며, spin relaxation region으로서 역할 한다. 이 trilayer 모델을 풀면서 NM이 spin diffusion length 스케일보다 더 두꺼운 것을 가정하면, spin torque efficiency는 아래와 같이 쓸 수 있다.

여기서 spin flip parameter $\delta = t_I/\lambda_{s,I}$로 정의되고, $G_I=\sigma_I/\lambda_{s,I}$이다. 위 방정식을 통해 spin flip이 더 강해질 수록, ($\delta$가 커질 수록), spin torque efficiency는 더 작아지며, 이 점이 바로 SML 효과의 정수이다. SML은 두께에 따른 spin Hall signal의 서로 다른 length scale을 설명하고, inverse spin Hall 실험에서 magnetic damping을 설명하는데 사용된다.

위 그림은 CoFe/Pt 시편에서 ST-FMR 측정 결과를 보여준다. 그림과 같이 as-grown CoFe/Pt 샘플에서는, spin torque efficiency $\xi_{FMR}$는 $0.1$ 정도의 값을 가지며 $t_{\mathrm{CoFe}}$의 변화에 따라 크게 바ㅏ뀌지 않는다. 이는 다시 말해 effective field like com[onent가 이 샘플에서는 거의 미미 하다는 것($\xi_{FL} \sim 0$)을 보여준다. 다른 한편으로 annealed CoFe/Pt 샘플에서는 $\xi_{FMR}$값이 $t_{\mathrm{CoFe}}$에 명확하게 의존하는 값을 가지며 $\xi_{FL}$이 0이 아닌 값을 가짐을 알 수 있다. 또한 $t_{\mathrm{CoFe}}= 2nm$에서 $\xi_{FMR}$의 부호가 바뀌는 것은 ST-FMR의 antisymmetric component의 부호가 바뀌는 것과 연관되며, field-like spin-orbit torque와 Oersted torque의 부호가 서로 반대임을 나타낸다.
Annealing 이후에 damping-like spin torque efficiency가 감소하는 것은 계면 스핀 수송의 sensitivity를 설명하며, 특히 composition과 NM/FM 계면의 프로세싱에 대해 자세히 알려준다. 그리고 이는 아마 계면에서 나타나는 enhanced dead layer 가 SML layer를 만듦으로써 나타나는 것일 것이다.

Spin torque에 더해, magnetic damping 측정 역시 interfacial transparency에 대한 중요한 정보를 알려준다. 위 figure는 annealing 이전과 이후에 CoFe/Pt의 magnetic damping 측정 결과를 보여준다. Fig.(a)에 나와있듯이, annealing 이전과 이후 모두에서 $t_{\mathrm{CoFe}}$가 감소함에 따라 magnetic damping $\alpha$가 증가하는 결과를 보였다.
Spin torque and magnetic damping measurements on the Co/Pt samples also reveal possible SML effect in those heterostructures [73]. After all, the above experiments demonstrate the critical role of the NM/FM interface in the spin transport process.
'Other Topics' 카테고리의 다른 글
| Boltzmann Machine (0) | 2024.11.26 |
|---|---|
| 0520 발표 주제 (0) | 2024.05.03 |
| Orbital Angular Position (0) | 2024.03.27 |
| First Principles Calculation (0) | 2023.10.31 |
| (작성중) The Green's Function Method (0) | 2023.10.31 |
댓글