참고 문헌
[1] 曲冠雄, 強磁性体におけるスピンホール効果
1. The Kubo formula
Linear response theory는 섭동 외력에 대해 observable의 linear order response를 공식화 한 것이다. 예를 들어, conductivity는 외부 전기장에 대한 전류의 linear response라 할 수 있을 것이다. Linear response approximation은 일반적인 non-equilibrium 조건과 비교할 때 매우 단순화 과정을 거친다. 이는 linear response가 시스템의 equilibrium 특성에 의해 uniquely 결정되기 때문이다.
우선 정적인 파트와 perturbation의 합으로 구성된 일반적인 Hamiltonian을 고려해보자.

여기서 $\hat{\mathcal{H}}_0$는 perturbation이 없는 경우의 시스템(Hamiltonian)을 나타내고, $\hat{\mathcal{H}}'(t)$는 시변 Hamiltonian으로 여기서 t가 perturbation이라 볼 수 있다.
Non-equilibrium state에서는, 임의의 observable $\hat{A}$의 expectation value는 아래와 같이 time-depenent하다.

여기서 $\hat{\rho}(t)$는 시간에 따라 변화하는 density operator이다. Density operator의 time evolution은 time evolution operator에 의해 지배된다.

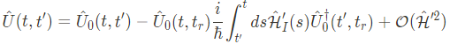
여기서 $\hat{\rho}'(t) \equiv \hat{\rho}_0$ 는 initial time (equilibrium state)에서의 density operator로 정의되고, 또한 time-dependent Hamiltonian의 time evolution operator는 아래와 같다.

여기서 $\mathcal{T}$는 time-ordering operator이다.
+) Density matrix operator는 Heisenberg picture에서는 시간에 따라 변화하지는 않지만, Schrodinger picture에서는 변화함을 인지하자. 이는 matrix form으로 쓰면 더 명확해진다.

Time evolution operator에 포함되어 있는 time-ordering operator는 analytically 계산하는데 있어 번거롭지만, interaction picture에서는 이를 $\hat{\mathcal{H}}'$의 order로 전개 시킬 수 있다. 이는 Hamiltonian의 time-dependent 부분이 perturbative하기 때문이다.
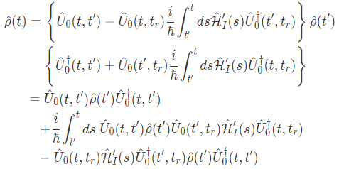
1차 항의 경우, 우리는 아래와 같이 쓸 수 있다.

여기서 $t_r$은 reference time이다.
결과적으로, time evolved density operator는 $\hat{\mathcal{H}}'$의 1차식으로 전개시킬 수 있다.

여기서 reference time을 $t_r = t' = -\infty$라 가정하면, 외력은 부재하게 되며, system은 equilibrium state $\hat{\rho}_0에 머무르게 된다.

위 방정식은 $\hat{\mathcal{H}'_I$ 속에서 외력이 작용할 때의 density response라 할수 있다.
결과적으로, 외력이 작용할 때 물리적 observable $\hat{A}$의 exepctation value는 다음과 같다.
'Other Topics' 카테고리의 다른 글
| First Principles Calculation (0) | 2023.10.31 |
|---|---|
| (작성중) The Green's Function Method (0) | 2023.10.31 |
| 양자얽힘 (Density Operator로 보는 Quantum Entanglement) (0) | 2023.08.23 |
| 4f orbital electrons (0) | 2023.08.17 |
| Exchange Stiffness Constants (0) | 2023.08.17 |
댓글