참고문헌
[1] 스핀류와 위상학적 절연체, 사이토 에이지, 무라카미 슈이치, 김갑진
[2] Exchange stiffness of ferromagnets, M. D. Kuz’Min, K. P. Skokov, L. V. B. Diop, I. A. Radulov, O. Gutfleisch
강자성체 내부에 있는 스핀에 대한 정량적인 분석은 각각의 스핀을 모두 고려했을 때 완벽해질 것이다. 하지만 이는 현실적으로 불가능하다. 아마 양자컴퓨터가 상용화된 미래에나 모든 스핀을 고려한 정량분석이 가능할 것이다. 현실적으로는 approximation을 통한 분석법이 그나마 가능할 것이다. 이처럼 각각의 전자의 spin들을 continnum approximation 했을 때 자화 항 앞에 붙는 계수를 바로 Exchange Stiffness라 한다. 이는 '교환스핀류' 라는 이름으로 나오기도 한다. 이를 직접 증명해보자.
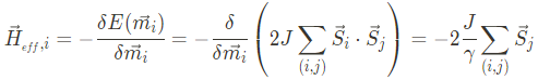
Heisenberg exchange interaction term에 의해 발생하는 유효 자기장은 아래와 같다.

위의 유효자기장을 자화동역학 term에 넣으면,

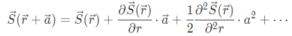
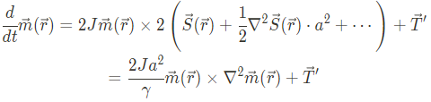
이제 이 방정식을 연속체 근사한 후, '장 방정식'으로 바꾸어 보고자 한다. 다시 말해 원자 위치 $i$에 의한 기술에서 원자 위치 $\vec{r}$에 의한 식으로 바꾸는 것이다. 이를 위해 $\vec{S}_i = \vec{S}(\vec{r})$로 바꾸고, $\vec{S}_i$와 가장 가까이에 있는 $\vec{S}_j$ 사이의 거리를 a라 두면, $\vec{S}(\vec{j}) = \vec{S}(\vec{r}+\vec{a})$로 나타낼 수 있다. 여기서 $\vec{S}(\vec{r}+\vec{a})$를 Taylor expansion 하면,

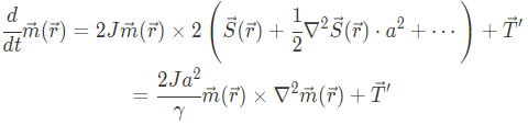
여기서 $\vec{S}_i$와 반대방향으로 거리 a를 가지는 $vec{S}(\vec{r}-\vec{a})$ 항 역시 Taylor expansion을 하여 비교하면, a에 대한 기함수 항이 모두 사라짐을 알 수 있다. 3차 항 이상을 생략하면 결국에 자화동역학 식은 아래와 같이 정리할 수 있다.

이때 다음의 벡터 계산을 이용하면,

위의 식은 아래와 같이 정리된다.

이는 새로운 continuity equation 이며, 다시 말해 우리는 새로운 스핀류를 정의할 수 있게 됐다.

교환상호작용을 받아서 운동하는 자성체 내부의 자화의 운동은, 위의 식에서 정의되는 스핀레유 의한 ㅅ핀각운동량 보존버칙의 형태로 쓸 수 있다. 이러한 스핀류를 교환스핀류 (exchange spin current)라고 부른다. 이러한 교환스핀류는 사실 다른게 아니라, Heisenberg exchange interaction을 각운동량 교환관계와 연속체 근사를 이용하여 다시 쓴것에 불과하다. (교환상호작용 $\rightarrow$ 스핀류)
이 continuum approximation이 적용된 경우의 에너지 term을 보면

여기서 $\vec{m}$은 magnetization 방향의 unit vector이다. $A$는 micromagnetic calculation에 있어서 매우 중요한 ingredient로서, bulk material의 coercivity부터 racetrack memory와 같은 nanoscopic device에 까지 응용분야가 다양하다.
$A$를 결정하는 방법은 Landau와 Lifshitz에 의해 결정됐다. 이 방법에서, 우선적으로 spin-wave stiffness $D$를 찾는 것이 중요하다. (이 항은 magnon dispersion relation 식 $\hbar \omega_q=Dq^2$ 에 나오는 계수이다). 이는 아래와 같은 Bloch's law에서 자발적 자화의 온도 의존성 측정 값을 fitting 함으로써 얻을 수 있다.

여기서 $M_0$는 (volume) saturation magnetization이다. $D$을 앎으로써, $A$는 두 값 사이의 단순한 비례 관계를 통해 얻을 수 있으며, 아래와 같은 식으로 나타낼 수 있다.

Landau-Lifshitz 테크닉의 단점 중 하나는, Bloch law가 저온(중에서도 극저온)에서만 유효하다는 것이고, 이는 $M_s$와 $M_0$의 차이를 나타내는 $D$의 값이 매우 작아서 발생하는 문제이다. 다른 방법들 역시 각 방법들마다 단점들이 존재하며, 결과적으로 우리가 추출하는 $A$와 $D$ 값은 완벽하게 정확하지는 않다. 그러므로,를 $T_{C}$에서의 $A$ 결정하는 방법은 궁극적으로는 nearest-neighbor exchange가 존재하는 상황에서의 localized (Heisenberg) model을 이용한다.
다른 방법










'Other Topics' 카테고리의 다른 글
| 양자얽힘 (Density Operator로 보는 Quantum Entanglement) (0) | 2023.08.23 |
|---|---|
| 4f orbital electrons (0) | 2023.08.17 |
| Avoided Crossing (0) | 2023.07.17 |
| Spin Polarized Density Functional Theory (0) | 2023.06.21 |
| Conductivity Model (0) | 2023.06.21 |
댓글