1. Density Functional Theory (DFT in a Nutshell)
- 어떤 종류의 approximation들이 현재 사용되고 있는지, 그리고 얼마나 잘 작동하고 있는지 알려준다.
1.1. Electronic Structure Problem
For the present purposes, we define the modern electronic structure
problem as finding the ground-state energy of nonrelativistic
electrons for arbitrary positions of nuclei within the Born-Oppenheimer
approximation.[1] If this can be done sufficiently accurately
and rapidly on a modern computer, many properties can be predicted,
such as bond energies and bond lengths of molecules,
and lattice structures and parameters of solids.
Consider a diatomic molecule, whose binding energy curve
is illustrated in Figure 1. The binding energy is given by

Binding energy는 아래와 같이 기술된다.

여기서 $E_0(R)$은 전자의 ground-state 에너지이며, 위 식에서 R은 원자핵과 전자 사이의 거리이다.
N개의 전자의 Hamiltonian은 아래와 같다.




We use atomic units unless otherwise stated, setting
e2 ¼ h ¼ me ¼ 1, so energies are in Hartrees (1 Ha ¼ 27.2 eV
or 628 kcal/mol) and distances in Bohr radii (1 a0 ¼ 0.529 A°
).
The ground-state energy satisfies the variational principle:

where the minimization is over all antisymmetric N-particle
wavefunctions. This E was called E0(R) in Eq. (1).*
Many traditional approaches to solving this difficult manybody
problem begin with the Hartree–Fock (HF) approximation,
in which W is approximated by a single Slater determinant
(an antisymmetrized product) of orbitals (single-particle
wavefunctions)[2] and the energy is minimized.[3] These include
configuration interaction, coupled cluster, and Møller-Plesset
perturbation theory, and are mostly used for finite systems,
such as molecules in the gas phase.[4] Other approaches use
reduced descriptions, such as the density matrix or Green’s
function, but leading to an infinite set of coupled equations
that must somehow be truncated, and these are more common
in applications to solids.[5]
More accurate methods usually require more sophisticated
calculation, which takes longer on a computer. Thus,
there is a compelling need to solve ground-state electronic
structure problems reasonably accurately, but with a cost in computer time that does not become prohibitive as the
number of atoms (and therefore electrons) becomes large.
1.2. Basic DFT
전자밀도 $n\vec{r}$은 다음과 같이 정의된다.
"$n(\vec{r})d^3r$ 은 $\vec{r}$ 주변의 미소부피 $d^3r$에서 전자를 찾을 확률이다".
$\phi(\vec{r})$의 파동함수를 가지는 전자 1개의 경우, 확률은 단순히 $|\phi(\vec{r})|^2$이다. DFT에서, 우리는 gorund-state enrgy를 쓰기 위해 $\Psi$ 대신에 $n(\vec{r})$을 사용한다.
첫번째 Density Functional Theory는 Thomas와 Fermi에 의해 만들어졌다. 임의의 점에서의 운동에너지 밀도(kinetic energy density)는 서로 상호작용하지 않는 저
The kinetic energy density at any point is approximated by that of a uniform electron gas of noninteracting electrons of density n(r), which for a spin-unpolarized system is:

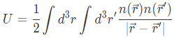
The interelectron repulsion is approximated by the classical
electrostatic self-energy of the charge density, called the Hartree
energy:

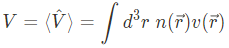
Because the one-body potential couples only to the density,

The sum of these three energies is then minimized, subject to the physical contstraints:

This absurdly crude theory gives roughly correct energies
(errors about 10% for many systems) but is not nearly good enough for most properties of interest (for example, molecules
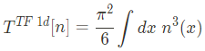
do not bind[8]). For same-spin, noninteracting fermions in 1d,
the corresponding kinetic energy is

and makes only a 25% error on the density of a single particle
in a box. Hours of endless fun and many good and bad properties
of functional approximations can be understood by
applying Eq. (11) to standard text book problems in quantum
mechanics,‡ and noting what happens, especially for more
than one particle.
현대의 DFT는 many-body problem의 해답은 원칙적을 density functional으로 구할 수 있다는 증명에서 시작한다. 이를 확인하기 위해, 아래의 식의 최소화 과정을 두 단계로 나눠보고자 한다.

첫번째로, First minimize over all wavefunctions
yielding a certain density, and then minimize over all densities.
Because the one-body potential energy depends only on the
density, we can define separately[9,10]

where the minimization is over all antisymmetric wavefunctions
yielding a given density n(r).¶ This is transparently a
functional of the density, meaning it assigns a number to
each density, as was first proven by Hohenberg and
Kohn.**[11] Then

where the minimization is over all reasonable densities satisfying
Eq. (10). Hohenberg and Kohn proved (i) that all properties
are determined by n(r), i.e., they are functionals of n(r),†† (ii)
F[n] is a universal functional, independent of v(r), and (iii) the
exact density satisfies

where dF/dn(r) is the functional derivative of F with respect to
n(r).In fact, these days we use spin DFT,[12] in which all quantities
are considered functionals of the up, n:(r), and down,
n;(r), spin densities separately. This makes approximations
more accurate for odd electron systems and allows treatment
of collinear magnetic fields. All functionals written without
spin dependence, such as the ones discussed thus far, are
assumed to be referring to a spin-unpolarized system.The next crucial step in developing the modern theory came
from (re)-introducing orbitals. Kohn and Sham[13] vastly
improved the accuracy of DFT by imagining a fictitious set of
noninteracting electrons that are defined to have the same density
as the interacting problem. They are still spin-1
2 fermions
obeying the Pauli principle, so like in HF theory, their wavefunction
is (usually) a Slater determinant, an antisymmetrized product
of orbitals of each spin, fjr(r), j ¼ 1,…,Nr, r ¼ : , ;. These
KS electrons satisfy a noninteracting Schr€odinger equation:

and the ejr are called KS eigenvalues and fjr(r) are KS
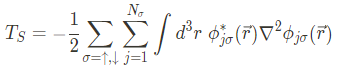
orbitals.‡‡ By evaluating Eq. (3) on the KS Slater determinant,
the KS kinetic energy is the sum of the orbital contributions:§§

If we write the energy in terms of KS quantities:

EXC is defined by Eq. (17) and called the exchange-correlation
(XC) energy.¶¶ KS showed that one could extract the unknown
KS potential if one only knew how the terms depend on the
density. Writing the Hartree potential as

Then

where

This is a formally exact scheme for finding the ground-state
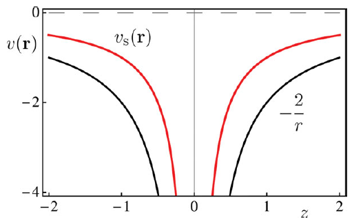
energy and density for any electronic problem.*** In Figure 2,

we emphasize the exactness of the KS scheme by plotting the
exact KS potential for a He atom (which is trivial to find, once
the exact density is known from an accurate many-body calculation
[14]):††† Two noninteracting electrons, doubly occupying
the 1s orbital of this potential, have a density that matches
that of the interacting system exactly.‡‡‡ But in practical
calculations, we always use approximations to EXC and hence
to vXC(r).
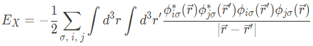
Traditionally, EXC is broken up into exchange (X) and correlation
contributions:§§§

The exchange energy is Vˆee evaluated on the KS Slater determinant
minus the Hartree energy, and typically dominates.¶¶¶
In terms of the orbitals:

This is precisely the same orbital expression given in HF,
though it makes use of the KS orbitals (which are implicit
functionals of the density[15] rather than the HF orbitals.****
Then the correlation energy is everything else, i.e., defined to
make Eq. (17) exact.††††
1.3. Real Calculations
Practical calculations use some simple approximation to
EXC[n:,n;]. The KS equations are started with some initial guess
for the density, yielding a KS potential via Eq. (20). The KS
equations are then solved and a new density is found. This
cycle is repeated until changes become negligible, i.e., this a
self-consistent field calculation.
The standard approximations are very simple. The local
(spin) density approximation (often just called LDA) is[13]:
2. Spin Polarized Density Functional Theory
(Spin-Polarized DFT Calculations and Magnetism)
2.1. Introduction
Spin-polarized calculations within the framework of density-functional theory (DFT) are
a powerful tool to describe the magnetism of itinerant electrons in solid state materials.
Such calculations are not only the basis for a quantitative theoretical determination of spin
magnetic moments, but can also be used to understand the basic mechanisms, which lead
to the occurrence of magnetism in solid state materials. Since the original development
of spin-density-functional theory by von Barth and Hedin1 and Pant and Rajagopal2 thousands
of spin-polarized DFT calculations have been performed and published and it is thus
entirely impossible to cover even the most relevant part of them. Therefore, the restricted
aim of these lecture notes is the consideration of some aspects of zero-temperature spin
magnetism in conceptually simple transition-metal solid state systems.
The tendency toward magnetism is determined by a competition between exchange
and kinetic energy effects. Whereas the parallel alignment of the electronic spins leads to
a gain of exchange energy, the alignment also causes a loss of kinetic energy. Contrary to
the atoms, which usually are magnetic, most solid state systems are non-magnetic, since
the gain in exchange energy is dominated by the loss in kinetic energy, which arises from
the delocalization of the valence electrons in a solid. Only if these electrons are sufficiently
localized, magnetism occurs as, for instance, in the elemental metals Fe, Co, Ni and Cr.
These metals will serve here as examples to illustrate the predictive and explaining power
of spin-polarized DFT calculations. The tendency toward magnetism is considerably enhanced
in “lower-dimensional” systems like metallic surfaces and interfaces, multilayers,
ultrathin films and wires, and magnetic clusters deposited on surfaces. These magnetic
systems have received considerable experimental and theoretical attention in recent years
and have been extensively studied by spin-polarized DFT calculations. Out of these calculation,
I will consider here one typical “one-dimensional” example, the magnetism of nanowires on metal substrates and present spin-density-functional results, which have been
obtained by the Korringa-Kohn-Rostoker (KKR) method, which is introduced elsewhere
in this Winter School on Computational Nanoscience.
The outline of my lecture notes is as follows. After an introduction to the underlying
theory of spin-polarized density-functional calculations, it will be discussed how, in terms
of the Stoner model, these calculations provide a basic description of the ferromagnetism
of the elementalmetals. This modelwill then be used to illustrate, why the self-consistency
iterations for the solution of the density-functional equations in magnetic systems converge
often rather slowly and how this can be avoided. Then follows a presentation of some
recent results for magnetic monatomic wires. Finally, it is shown that the magnetism in
certain solid state systems, in particular in the antiferromagnets, can be understood in terms
of covalent interactions between the atoms, but not in terms of the Stoner model based on
rigid band shifts.
2.2. Spin-Density-Functional Theory
If an external magnetic field is applied to an electronic system, it generally couples both to the electron spin and to the electronic orbital current.
The basic variables of spin-density-functional theory are the scalar electronic density $n(\vec{r}$ and the vector of magnetization $\vec{m}(\vec{r})$. 이 4개의 변수$(n, m_x, m_y, m_z)$ 대신에, $ 2 \times 2 $ 행렬 $ n^{\alpha \beta}(\vec{r})$가 사용될 수 있다. 여기서 $\alpha$와 $\beta$는 각각 $+$와 $-$ 값을 가질 수 있으며, 여기서 $+$는 majority spin, 그리고 $-$는 minority spin을 나타낸다. $n$과 $\vec{m}$, 그리고 $n^{\alpha \beta}$ 사이의 관계는 다음과 같이 주어진다.

And also,

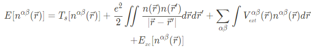
Hohenberg-Kohn-Sham spin-density functional은 다음과 같이 주어진다.

여기서 우항의 첫번째 항은 non-interacting electrons의 운동에너지이며, 두번째 항은 Hartree approximation에서 electron-electron 상호작용, 세번째 항은 external potential $V_{ext}^{\alpha \beta}$와의 상호작용 에너지, 그리고 마지막은 exchange-correlation energy이다.
External potential $V_{ext}^{\alpha \beta}$는 원자핵이 만들어내는 electronstatic Coulomb potential과 그리고 자기장에 의해 만들어지는 potential로 구서오디어 있다. 위 방정식의 functional의 최소값은 ground-state의 spin-density matrix를 대입함으로써 얻어지며, 결과적으로 ground-state energy를 얻을 수 있다.

위에서 i의 합은 occupied orbitals을 모두 더한 것이다. 마지막 두개의 방정식은 spin-dennsity matrix관점에서 봤을 때의 kinetic energy의 implicit representation이며, functional의 minimum은 _______________
이는 아래와 같이 Kohn-Sham equations으로 이어진다

2. SP-DFT
One of the differences of DFT and spin-polarized (SP)-DFT lies in the exchange-correlation functional which is spin-density dependent in the SP-DFT.
If the considered materials are not magnetic, both kinds of calculations in the end will be the same because the spin-density "dependent" exchange functional will converge to the spin-density "independent" exchange functional during the minimization process.
However, if the material is indeed magnetic, then whether you are after the magnetic properties or not, it's necessary to use SP-DFT because the spin-up's band structure of the spin-up may be different from the spin-down's one. The worst scenario is that when you have half-metals in which the spin-up electronic structure has the transport property opposite to the spin-down one (conductor vs insulator).
So first you need to know what materials you want to calculate and later decide which kind of DFT you want to use. If you don't know anything about your materials, it's quite safe most of the time to start with the SP-DFT. And after looking at the results of both spins, you can decide whether you should continue using SP-DFT or just the "regular" DF
Spin-polarized calculations within the framework of density-functional theory (DFT) are a powerful tool to describe the magnetism of itinerant electrons in solid state materials.
The tendency toward magnetism is determined by a competition between exchange and kinetic energy effects. Whereas the parallel alignment of the electronic spins leads to a gain of exchange energy, the alignment also causes a loss of kinetic energy. Contrary to the atoms, which usually are magnetic, most solid state systems are non-magnetic, since the gain in exchange energy is dominated by the loss in kinetic energy, which arises from the delocalization of the valence electrons in a solid. Only if these electrons are sufficiently localized, magnetism occurs as, for instance, in the elemental metals Fe, Co, Ni and Cr.
'Spintronics > Other Topics' 카테고리의 다른 글
| Exchange Stiffness Constants (0) | 2023.08.17 |
|---|---|
| Avoided Crossing (0) | 2023.07.17 |
| Conductivity Model (0) | 2023.06.21 |
| Harmonic Hall Technique (0) | 2023.06.01 |
| Order parameter dynamics (0) | 2023.05.10 |
댓글