참조문헌
[1] Novel spintronic device concepts based on spin-gapless semiconductors and half-metallic magnets, THORSTEN UDO AULL
[2] Tulapurkar, A. A. et al. Spin-torque diode effec in magnetic tunnel junctions. Nature 438, 339-342 (2005).
[3] Ishibashi, S. et al. Large diode sensitivity of CoFeB/MgO/CoFeB magnetic tunnel junctions. Appl. Phys. Exp. 3, 073001 (2010).
목차
I. Introduction
II. Magnetic Tunnel Junction

III. Spin-torque Nano Oscillator (STNO)
VI. Spin-torque Ferromagnetic Resonance (ST-FMR)
V. Spin-torque Diode (STD)

I. Introduction
Schottky Diode에 대한 설명과 메커니즘, 그리고 이를 spin-torque device로 하겠다는 것.
II. Magnetic Tunnel Junction
Spin-torque device의 심장인 MTJ에 대한 설명 어떻게 Pinned layer와 Free layer가 switching 되는지
III. STNO
Introduction
RF Power Detectors

RF devices must control the transmitted RF power to minimize power consumption and RF interference
Power control is required in automatic gain control (AGC) and automatic level control (ALC) to maintain suitable output levels.
The principle of diode detection is rectifying the AC signal through a unidirectional transfer characteristic diode and then transferring the rectified signal through an integrator to obtain the DC component.
옆의 그림은 single diode detecto를 나타내는 schematic diagram이다.

Spin-torque Nano Oscillator (STNO)
Spin-torque Ferromagnetic Resonance (ST-FMR)

Spintronic diodes are revolutionary candidates, which have repercussions on several technological applications ranging from neural networks to the Internet of Things [174] due to the ability to combine rectification and memory in a single device. For instance, spin-torque diodes are promising devices to emulate neurons in neuromorphic computing systems [175, 176]. In the following, we briefly overview the concept of five selected spintronic diodes. First, the spin-orbit torque diode and thereafter the magnetic tunnel diode, the resonant magnetic tunnel diode, the reconfigurable magnetic tunnel diode and finally, the Ohmic spin diode.
5.2.1 Spin-torque diode
Spin-torque diode
While the sensitivity of STDs observed in the initial
research is rather modest (about 1.4 mV mW−1), after only a few years
researchers have increased it to 200 kV W−1 and demonstrated rectification at
nanowatt input powers, which radically exceeds the capabilities of
mainstream Schottky diodes.
2005년 Tulapurkar 연구팀은 MTJ에서 spin-torque diode effect와 관련된 논문을 발표하였다. 해당 논문에서 tunnel device를 고안하여 spin-polarized microwave 전류가 STT와 TMR때문에 recified voltage로 변환 되게 끔 하였다. (see Fig. 5.2 for a schematic illustration of the spin-torque diode effect).
These figures of merit are mainly affected by the difference in the work functions of the electrodes (1 − 2) and the height of the tunnel barrier. On the one hand, a high asymmetry requires a high tunnel barrier together with a large work function difference of the electrodes, but on the other hand, a high tunnel barrier reduces the on-current. Consequently, a trade-off between these parameters is necessary.
Sustained microwave precession. For external fields larger than Hc, only one state remains stable: for example, the P state as shown in Fig. 2c. When the current is large enough to destabilize the magnetization from the P state, there is no other local energy minima where the magnetization can stabilize. The magnetization then enters a regime of spin-torque-induced sustained precession22,23. In that case, the magnetization orbit is set by the balance between dissipative (Tdamping and TIP) and conservative torques (Tfield and TOOP).
These spintronic devices have several advantages. First, the free-running frequency, which is linked to the magnetization state and the associated spin-torque-induced vibration mode, depends on the magnetic material and the sample’s geometry. By engineering the magnetic systems, a large part of the microwave frequency range can be reached, typically between a few hundred MHz and several tens of GHz. The second advantage is related to their intrinsic nonlinear nature: a simple variation of the injected current will modify the balance between torques, tuning the magnetization orbit and therefore the device frequency extremely rapidly24 and over a wide range. And finally, the third strength is their deep scalability and robustness to radiation. A unique feature of spin-torque microwave devices is their ability to display multiple functionalities, from signal generation to frequency detection and signal processing.
MTJs also have the capability to be used as frequency-tunable resonant microwave detectors, via a process dubbed spin-torque diode detection13 or spin-torque-driven ferromagnetic resonance ST-FMR.14–16
In this process, when a microwave signal with frequency close to the natural FMR frequency of one of the electrodes of a magnetic tunnel junction is incident onto the device, the oscillating tunnel current that it induces can excite magnetic precession via spin transfer.
The resistance oscillations that result from this precession mix with the oscillating current to produce an easily measurable dc voltage component across the tunnel junction. This effect has recently been used to make quantitative measurements of spin transfer torque vector in magnetic tunnel junctions, along with its bias dependence.
The falloff in sensitivity at large biases can be explained by a reduction in the tunnel magnetoresistance TMR as a function of bias, which decreases the size of the resistance oscillations contributing to the mixing signal.




Here we show that the application of a d.c. bias current to a MTJ along with the precise control of their magnetization-potential profiles affords a high RF detection sensitivity of 12,000mVmW1 at 1Graduate School of Engineering Science, Osaka University, Toyonaka, Osaka 560-8531, Japan, 2National Institute of Advanced Industrial Science and Technology (AIST), Spintronics Research Center, Tsukuba, Ibaraki 305-8568, Japan. (These authors contributed equally to this work. )Present address: Process Development Center, Canon ANELVA Corporation, Kawasaki, Kanagawa 215-8550, Japan. *e-mail: suzuki-y@mp.es.osaka-u.ac.jp room temperature, which exceeds that of semiconductor Schottky diode detectors. Analysis based on a macro-spin model revealed that the increase is caused by nonlinear FMR (ref. 24) explained as the rotation of the precession axis that depends on the RF-signal input power (Fig. 1a). We found that this rotation, a nonlinear effect, results in a large change in resistance and affords higher sensitivity.
In semiconductor diodes, the band bending of junction interfaces, caused by a space charge, induces a nonlinear effect called rectification. In RF detectors based on MTJs, this nonlinear effect is induced by the magnetization dynamics due to current injection, FMR induced by spin-transfer torque as mentioned earlier, and a subsequent resistance change20.
To obtain a higher sensitivity than that of semiconductors, a large response in magnetization precessional motion has to be excited under a small spin torque. To this end, the FMR frequency in the freelayer magnetization was synchronized with that of the detected RF input so as to efficiently excite magnetization precession.
In addition, small in-plane and out-of-plane (perpendicular) magnetic anisotropy fields were prepared to obtain larger precession orbitals; the preparation of these fields involved designing a circle-shaped sample, 120nm in diameter, and employing a FeB free layer with a MgO cap with perpendicular anisotropy31. The perpendicular anisotropy field almost compensated for the out of-plane demagnetization field and made the total anisotropy of the films small.

This versatility opens the way for implementing, with the same devices, very different functions such as signal clocks or field sensors in next-generation high-data-rate read-heads25. The working principle of each operation is very simple.
If a forward bias voltage is applied to a MTD, the effective thickness of the insulating layer is reduced, leading to an exponential increase of the tunneling current. Depending on the relative orientation of the magnetization of the electrodes, the MTD is situated either in a high-current or low-current state (see Fig. 5.3 for a schematic drawing of the operation principle of a MTD and the corresponding current-voltage characteristics). Therefore, MTDs are possible devices to combine rectification with memory. spin-polarized microwave current into a rectified voltage due to the simultaneous actions of a spin-transfer torque and the tunneling magnetoresistance
This rectification effect called spin-torque diode has been experimentally demonstrated in 2005 and can be used to implement spin-torque microwave nanodetectors36.

From then on, the interest in spin-torque diodes increased for two main reasons: (i) due to the complementary metal-oxide-semiconductor (CMOS) compatibility, i.e. these diodes can be fabricated with the same materials which are used for spin-transfer-torque MRAMs, and (ii) due to their size, i.e. actually they are the smallest known rectifiers.
Parameters
1.Output Resistance
2.Noise Equivalent Power (NEP)
3.Conversion Efficiency (the ratio between the dc delivered power and the input microwave power)
4.Sensitivity (the amount of the rectified output from the input microwave power)
5.Operate as a neuron in neuronal networks.(175, 176)
Spin-torque spin-wave detection can be realized thanks to magnetoresistive or spin-torque diode effects.
good performance requires high asymmetry, large response, and strong non-linearity together with low resistance
그때부터, spin-torque diode에 대한 관심은 두가지의 이유로 인해 증가하였다.
우선 첫번째로는 CMOS와의 compatibility이다. 이 다이오드들은 STT-MRAM에서 사용됐던 물질들을 이용하여 동일하게 제작할 수 있다.
두번째로는 사이즈 때문이었다. spin diode는 recitifer들 중에서 가장 작은 사이즈였다. 이러한 spintronic diode들의 성능은 여러 다른 물리량을 통해 특정될 수 있는데, 예를 들어 outptu resistance, noise equivalent power (NEP), conversion efficiency, 또는 sensitivity등이 그 예이다. Conversion efficiency는 dc delivered power과 input microwave power 사이의 비이며, senstivitiy는 input microwaver power에서 부터 나오는 recified output의 양을 나타낸다. 최근에, spin-torque diode는 또한 Neuronal networks의 neuron으로서도 기능할 수 있다고 보고됐다.

5.2.2 Magnetic tunnel diode
고주파수 영역에서 동작이 가능하기 때문에, MTJ, 또한 spin-tunnel diode로도 불린다,는 초고속 다이오드 응용분야에 있어 유망한 후보자 이다. 기존의 MIM diode와 유사하게, 좋은 성능을 위해서는 높은 asymmetry, 큰 response, 그리고 강력한 non-linearity가 낮은 저항과 함께 수반되어야 한다. 이 figures of merit은 주로 electrode 사이의 work function의 차이로부터 발생하며, tunnel barrier의 높이 또한 그 변수가 된다. 또 다른 한편으로는, 높은 asymmetry는 높은 터널 배리어와 함께 electrode의 높은 work function 차이를 필요로 한다. 하지만 다른 한편으로는, 높은 터널 배리어는 on-current를 감소시킨다.
결과적으로, 이 파라미터는 필수불가결하게 trade-off 의 관계에 있다.
만약 forawrd bias voltage가 MTD에 인가된다면, insulating layer의 유효두께는 감소할 것이며, 이를 통해 tunneling current의 기하급수적 증가를 야기할 것이다. electrode 사이의 자화의 상대적인 방향에 따라, MTD는 높은 전류 상태, 또는 낮은 전류 상태 둘 중 하나에 있을 것이다. 그러므로, MTD는 memeory에 더해 rectification까지 얹어진 possible 소자이다.
However, symmetric MTDs (1 = 2) are not applicable for logic application since their
current-voltage characteristics are symmetric with I(V ) = −I(−V ), leading to a loss of the
rectification properties. Another approach to solving the issue of symmetric I−V curves is to
fabricate MTDs with two different insulating materials, which was introduced by de Buttet et
al. [179] in 2006. Due to the different work functions of the insulators, in one bias direction,
the effective barrier thickness and height decreases, while in the opposite bias direction,
these quantities stay unchanged, leading to asymmetric current-voltage characteristics. One
shortcoming of this approach is that the TMR value of these tunnel diodes with composite
insulating layers lies between the achieved values for the single insulators, and thus, is not
optimal [179]. Moreover, the asymmetry of the I−V curve depends strongly on the thickness
of both insulating materials [179].
Nevertheless, to ensure that the dominant transport mechanism is tunneling, the thickness
of the insulating layer is designed below 4nm [180], and hence there occur challenges related
to the fabrication process of the very thin insulating layer.

5.2.3 Resonant magnetic tunnel diode
Resonant MTDs are of particular interest for magnetic memory technologies since the current
MRAM cross-point memory architecture requires either a diode or a CMOS transistor (selection
device) connected in series with the memory cell to block disturbing signal paths within
the array of lines (sneak paths) [182, 183]. Nevertheless, the fabrication of MTJs together
with CMOS transistors is challenging and hampers such a concept. To avoid the implementation
of additional semiconductor components, Chshiev et al. [184] introduced a resonant
MTD concept, which is based on an asymmetric double-barrier structure, and its asymmetric
properties can be varied via an external magnetic field. Double tunnel junctions consist of
two tunnel barriers of different transparency for the electrons, two ferromagnetic electrodes,
and a non-magnetic contact (see Fig. 5.5 (a)). The two tunnel barriers are anticipated to
possess highly asymmetric conduction for different biases, and thus, act as a diode or current
rectifier [184]. In the case of spin-independent conductivity, i.e., vanishing magnetoresistance,
such a current rectification in double tunnel junctions was already identified [185], while effects
of resonant transmission have been identified in the symmetric double tunnel junction
Fe/MgO/Fe/MgO/Fe [186] although with a rather weak current rectification. Strong diode
effects with a high current rectification ratio were demonstrated by Iovan et al. in 2006 in
asymmetric metal/oxide double tunnel junctions [187].

Large resonant magnetic tunnel magnetoresistance values combined with a high current
rectification ratio were observed in magnetic double tunnel junctions [181], making these
kinds of devices an efficient hybrid of a diode and a spin switch. The different thickness of
the insulating layers causes an asymmetry in the transparency of the two tunneling barriers,
which sandwich the ferromagnetic layer in the middle. This middle layer separated from
the outer electrodes is designed to be as thick as the electron Fermi wavelength in the material,
resulting in a level spacing. However, the experimental results of Iovan et al. [181]
point out that, depending on the applied bias voltage, the conductance through the tunnel
junction presents multiple peaks (see Fig. 5.5 (b)). This behavior can be attributed to the
transmission of electrons through discrete quantum well states but limits the voltage range
to ±0.06 V, in which the reported asymmetric Fe/MgO/Fe/MgO/Au junction possesses a
diode-like behavior [181].
5.2.4 Reconfigurable magnetic tunnel diode
In 2019, S¸a¸sıo˘glu et al. [11] introduced a new concept of a reconfigurable magnetic tunnel
diode (MTD) and magnetic tunnel transistor (MTT), and a patent application for both kinds
of devices has been filed [188]. Recently, the proposed concept of the reconfigurable MTD
was experimentally demonstrated using Heusler compounds as spin-gapless and half-metallic
electrode materials [189]. Both devices, the reconfigurable MTD as well as the MTT which
is discussed in the next section, can overcome the limits of conventional hot-electron devices
and provide some additional functionalities like nonvolatility and reconfigurability. The
tunnel diode is a two-terminal device that consists of a thin insulating layer (I) sandwiched
between a spin-gapless semiconductor (SGS) electrode and a half-metallic magnet (HMM)
electrode (see Fig. 5.5). Electrical current can flow through the reconfigurable MTD either
in one or the other direction, depending on the relative magnetization orientation of the electrodes.
Also, the rectification properties of this diode depend on the relative orientation of the magnetization of the SGS and HMM. If the electrode magnetization is parallel aligned,
the tunneling current is allowed to pass only in one direction. In the opposite direction, the
current is blocked completely (see Fig. 5.6 (a)). Thus, the reconfigurable MTD acts like a
normal diode. When the magnetization direction of one electrode is reversed, so that we end
up with an anti-parallel setup, the rectification properties of the HMM-I-SGS junction are
also reversed (cf. Fig. 5.6 (b)). Due to this fact, such diodes can be configured dynamically
by a current-induced spin-transfer torque or by applying an external magnetic field.

5.2.5 Ohmic spin diode
In the previous section, we introduced the reconfigurable MTD. The Ohmic spin diode (OSD)
is an extension of this concept, i.e., in analogy to metal-semiconductor devices (Schottkybarrier
diodes), this HMM-SGS junctions act as a diode. Under any finite forward bias, the
two electrode materials form an Ohmic contact leading to linear current-voltage characteristics,
while under reverse bias, the current is blocked due to the spin-dependent filtering of
the electrons. Since conventional diodes possess a junction barrier, a threshold (or turn-on)
voltage VT must be supplied to turn the diode on. Such threshold voltages give rise to power
dissipation (P = VT · I) in the form of heat, and thus, it is an undesirable feature. Due
to the linear scaling of P with VT , the power dissipation increases with increasing values
of the threshold voltage. Contrary to conventional p − n diodes, OSDs do not require any
form of doping and exhibit no turn-on voltage. Other advantages of the OSD compared
to conventional semiconductor diodes are the low resistance and the much higher current
drive capability. Further details about the operation principle and features of the OSD are
presented in Section 6.3.

1. Sensitivity
1.a. 정의
The RF detection sensitivity is usually described as the open circuit voltage sensitivity, which is expressed as the slope of the transfer function for the diode detectorsS1. This represents the conversion of RF input power to an output DC voltage at the output connector, which is typically specified in mV/mW. This can be used as a figure of merit for the diode’s efficiency in converting an input power to a usable voltage.

예를 들어, 상용화 된 Herotek 사가 제작한 Schottky diode detector의 sensitivity의 경우, 3,800mV/mW의 sensitivity를 갖는다.
1.b. Spin-torque diode sensitivity

Sensitivty에 있어 중요한 조건들은 다음과 같다.
(1) Tilted magnetic field
(2) Interfacial anisotropy using MgO cap layer
(3) DC bias applications.
위 3개의 조건들은 다른 실험과 크게 다르지 않다. Magnetization-potential 디자인 때문에 만들어진 non-linear FMR을 사용한 것이 sensitivity의 크나 큰 향상을 불러왔다.
GMR소자, 또는 MTJ에서 발생하는 stochastic resonance를 이용하여 낮은 온도에서 높은 sensitivity를 얻은 것 역시 보고되었다.
하지만, spin-torque induced resonance의 물리학은, 특히 signal-to-noise ratio를 봤을 때, 완벽하게 이해되지는 않았다.
(b) RF detection sensitivity에서의 자기장과 각도 dependence.
We have calculated the RF detection sensitivity (Vdetect/PRF) by using the macro-spin model
simulation as a function of the magnetic field amplitude (H) and the angle. The definition of the H
and the angle are schematically illustrated in Fig. S3a. The results show that the magnetic field
condition in the main text (H = 1.1 kOe, 10° tilted from the film normal) almost corresponds to the
field that maximizes the sensitivity.
Under zero DC bias, the maximum RF detection sensitivity is about 2,800 mV/mW when the
near-perpendicular magnetic field is applied (Fig. S3b). A field that almost corresponds to the
out-of-plane demagnetization field (0.9 kOe) provides the maximum sensitivity. The use of such a
field nullifies the out-of-plane demagnetization field, because of which the free layer magnetization
becomes almost normal to the film plane, and only a weak in-plane anisotropy exists. Therefore, the
magnetization is quite sensitive to the applied torque, and a high sensitivity is obtained. This
behaviour corresponds to the reduction of the spectral linewidth, which is described in the
denominator of Eq. (3) in the main text. In the experiment, however, a larger tilt angle of the
magnetic field (10°) was necessary to obtain high sensitivitiesS5. As a result, the maximum
sensitivity in the experiment was limited to 630 mV/mW. The requirement of the tilted magnetic
field in the experiment is possibly explained by the difficulty of the magnetic cell to maintain a
single domain structure under a weak effective magnetic field, because the magnetic cell has a finite
size (120 nm in diameter).

Derivation of the RF detection sensitivity

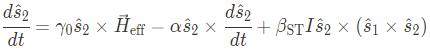
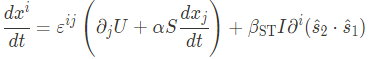
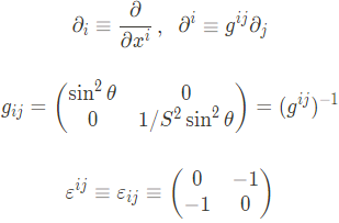
x방향을 north pole로 정하여 analytical expression을 유도하고자 한다. FeB layer의 macroscopic spin이 ($\theta$, $\phi$) 방향을 향하고, pinned layer는 x축을 향한다고 하자.
우리는 다음의 canonical coordinate system을 정의하고자 한다.

위의 coordinate system에서, LLG 방정식은 아래와 같이 바뀐다.


where

여기서 $I$는 인가 전류, $\varepsilon$은 Levi-Civita symbol, g는 우리가 정의한 orthogonal curvilinear coordinate system을 위한 metric tensor이다.
OCCS에서 쓴 LLG 방정식은 다음과 같이 쓸 수 있다.

여기서 $\alpha^2과 $alpha \beta_\mathrm{ST}$를 포함하는 식은 무시하겠다.
For this method we apply
an rf voltage wave to an MTJ and measure the dc voltage
that appears across the junction as a consequence of the
significant rectification effect of the MTJ.
One can also
superimpose direct current on the MTJ to bias it.
This
method is very simple but provides phase-sensitive resonance
spectra, as explained below.

Here, we see that the frequencies of the additional voltages
are zero (dc) and 2!. It means that, under spin-torque FMR
excitation, the MTJs may possess a rectification function and
a mixing function. Because of these new functions, we refer
to these MTJs as spin-torque diodes and these effects as
spin-torque diode effects.
This is a nonlinear effect that
results from two linear responses, i.e., the spin-torque FMR
and Ohm’s law.


If the emission line and the MTJ include some parasitic
impedances, we should employ an appropriate value of to
correct the effect.
This spin-torque diode effect can be illustrated as shown in
Fig. 3. Commencing with a magnetic tunnel junction, in
which the free-layer spin is perpendicular to that of the fixed
layer at an equilibrium condition [Fig. 3(b)], we then apply a
negative current that induces a preferential parallel configuration
of the spins. Thus resistance of the junction becomes
smaller and the junction supports only a small negative
voltage for a given current [Fig. 3(a)]. Next we apply a
positive current. This current induces preferential antiparallel
configuration and the resistance becomes higher. We observe
a larger positive voltage appearing across the junction for a
given current [Fig. 3(c)]. Alternating the current direction
at high speed, we observe a positive voltage on average.
This is a type of homodyne detection and is, thus, phasesensitive.
The motion of the spin, illustrated in Fig. 3, corresponds
to that excited by the spin-transfer torque at the resonance
frequency. However, the motion of the spin excited by
the fieldlike torque shows a 90 difference in phase. As a
consequence, only the resonance excited by the spin-transfer
torque can rectify the rf current at the resonance frequency. In
Fig. 4, the dc voltage spectra predicted for the spin-transfer
torque excitation and for the fieldlike torque are both shown.
The spectrum excited by the spin-transfer torque exhibits
a single, bell-shaped peak (dashed line) but that excited by
the fieldlike torque is of a dispersion type (dotted line). This
very clear difference provides us with an elegant method to
distinguish spin-transfer torque from fieldlike torque.
3. Spin-Torque Diode Effect and Its Application
3.1 Measurement of the spin-torque diode effect
Figure 5 shows a schematic illustration of the setup for
spin-torque diode effect measurements with a cross-sectional
view of the MTJ. The bottom fixed layer consists of a
CoFeB/Ru/CoFe synthetic ferrimagnet, which is exchange
biased by a PtMn antiferromagnet. The insulating layer is
MgO with a thickness of around 1 nm. The thin top layer is
CoFeB, which can be rotated freely by applying external
magnetic fields. This CoFeB free-layer is also excited by
spin-torque, resulting in magnetization switching by dc
voltages or in FMR induced by rf voltages. We apply rf
voltages through a bias-T from a high-frequency oscillator
and detect dc voltages across the MTJ using a dc nanovoltmeter.
'MTJ' 카테고리의 다른 글
| 자기저항 센서 (0) | 2024.01.03 |
|---|---|
| Boltzmann Machine (0) | 2023.11.13 |
| GMR과 TMR의 차이 (0) | 2023.08.03 |
| Zero Bias Anomaly (0) | 2023.06.26 |
| (작성중) 자기터널접합 (Magnetic Tunnel Junction) (0) | 2023.03.14 |
댓글