참고문헌
- Introduction to Magnetic Random Access Memory, Dieny
- ㅇㄹㄴㅇㄹㄴ
0. Introduction
13231 자기터널접합은 이름 그대로 자성과 터널링 현상을 나타내는 접합으로, 강자성체, 반강자성체, 부도체, 그리고 비자성금속(Capping layer)의 결합으로 이루어진다. 이에 대한 내용을 아래 보일 것이다. MTJ는 또한 또 다른 중요한 특징들을 갖는데, 높은 내구성, 낮은 전력소비, 빠른 스위칭속도가 그 예이며, 이러한 점들이 비휘발성 메모리소자, 또는 다른 응용분야에서 매력적이게 끔 보이게 한다.
MTJ는 MRAM에서 가장 중요하고 근본적인 cell이다. 이는 높은 MR과 조절 가능한 RA product 때문이며 현재까지 널리 연구되어 왔다. 고체 시스템에서의 Spin-dependent tunneling은 Julliere에 의해 30년 전에 설명되었는데, Jullier's의 연구 성과는 MTJ의 spin polarization을 정량적으로 접근하는 방법을 고안시키게 했다.
2001년, Butler 연구팀과 Mathon 연구팀은 first-principles calculation을 이용하여 epitaxial Fe(100)/Mg(100)/Fe(100) 구조의 magneto conductance와 tunneling conductance를 계산했다. 이 계산에서 그들은 crystallized Fe/MgO/Fe MTJ의 TMR이 1000%를 넘을 수 있다는 결과를 찾아냈다. 이 결과는 매우 중요한 결과물의 발견을 암시했다.
1. ㄹㄹㄹㄹㄹ
3. Spacer in Magnetic Tunnel Junction
3.1. Metallic Nonmagnetic Spacer for GMR Spin-Valve
1988년, Baibich 연구팀은 Fe와 Cr로 이루어진 메탈 자성 다층박막을 제작하여 GMR효과를 얻었다. 여기에서의 GMR효과는 자화의 정렬(평행, 반평행)의 변화에 따라 다층박막의 전기적 저항도가 달라지는 효과였다. MR ratio가 AMR보다 10배 이상 컸기에 Giant MR이라 불러졌다. (AMR의 경우 상온에서 ~1%, GMR은 ~수%) GMR효과의 근원은 Bulk FM layer, 혹은 FM/NM 계면에서의 전도전자의 spin-dependent scattering이며, Fig 2.15.와 같이 표현할 수 있다.

다음을 가정해보자, ferromagnetic layer의 자화방향과 평행한 majority spin을 가지는 전도전자가 그 반대 방향의 스핀(minority spin)을 가지는 전도전자보다 scattering 될 확률이 낮다고 하면, majority spin의 전자들은 scattering없이 더 긴 거리를 이동할 수 있다. 결과적으로, parallel alignment를 가지는 film의 총 전기저항은 antiparallel alignment를 가지는 전기저항보다 더 작게된다. 원칙적으로, 유한한 값의 GMR은 어떠한 FM/NM혹은 합금의 combinations에서 나타날 수 있다. 하지만, 높은 MR ratio는 특정 물질 조합에서만 발생하는데, 해당 조합은 아래와 같다.
- Fe-Cr
- Co-Cu
이는 Fe-Cr, 그리고 Co-Cu 계면에서의 electron scattering이 대체로 spin dependent하기 때문이다. 예를 들어 Fe-Cr 계면에서는, minority-spin의 전자의 scattering probability가 majority-spin 전자의 scattering probability보다 더 작다, because of the good matching between the Fe minority-spin band and the Cr band at the Fermi energy. 반대로 Co-Cu 계면에서는 majority-spin 전자의 scattering 확률이 더 적다. 자기센서와 같은 device application 과점에서 본다면, 스핀-밸브 구조(Fig. 2.13) with basically zero interlayer exchange coupling(the decoupled region in Fig 2.12) is important.
3.2. Magnetic Tunnel Junction with Amorphous AlO Tunnel Barrier
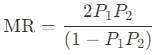
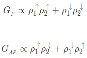
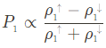
Section 2.1에서 설명되어 있듯이, insulating NM을 spacer layer로 설정해놓는 FM/NM/FM trilayer 구조를 MTJ라 부른다. MTJ의 저항은 electrodes의 상대적인 자화 정렬(평행 혹은 반평행)에 따라 좌우된다. MTJ의 tunnel resistance R은 자화가 반평행 할 때보다 평행할 때 더 낮다. 즉, $ R_{P} < R_{AP} $ 이다. 두 자화층의 상대적인 반향에 따른 저항의 변화는 TMR(Tunnel magnetoresistance) effect라 불리며, 스핀트로닉스에서 가장 중요한 현상중 하나이다. 이 현상의 크기는 저항의 fractional change $ \cfrac{R_{AP}-R_{P}}{R_{P}} \times 100(%) $ 에 따라 측정되는데, 이를 Magentoresistance ratio (MR ratio)라 부른다. 1995년, Miyazaki Tezuka와 Moodera 연구팀은 amorphous AlOx를 터널 배리어로 쓰며 3d transition metal (Fe, Co 등)을 강자성체 electrodes로 쓰는 MTJ를 제작하여 상온에서 10% 이상의 MR을 기록했다. TMR 효과의 근원은 spin-polarized electron의 tunneling에 있다. Julliere는 단순한 phenomenological model을 제안했는데, 이 모델에 따르면 MTJ의 MR ratio는 강자성체 electrodes의 tunneling spin polarizations(TSP) P의 항으로 나타낼 수 있다.

이때 $ P_{i} \equiv \left[D_{i \uparrow} (E_{F}) - D_{i \downarrow} (E_{F})\right]/\left[D_{i \uparrow} (E_{F}) + D_{i \downarrow} (E_{F})\right] $이다.
3.3. Magnetic Tunnel Junction with Crystalline MgO (0 0 1) Tunnel Barrier
2.3.3.1. Epitaxial MTJ with a Single-Crystal MgO ( 0 0 1 ) Barrier
Crystalline MgO(0 0 1) barrier에 대해 말하기 이전에, 간단히 amorphous tunnel barrier에서 어떻게 tunneling process가 진행되는지 리뷰해보자. Amorphous AlO배리어 기반의 MTJ에서 터널링이 어떻게 발생하는지는 Fig 2.19a에 나와있다. 해당 그림에 따르면 top electrode layer는 Fe(0 0 1)이며, 3d ferromagnet의 예제가 된다. Electrode에는 서로 다른 대칭성을 가지는 파동함수의 Bloch states 들이 존재하는데, Tunnel barrier가 amorphous이기 때문에, there is no crystallographic symmetry in the tunnel barrier.

이 비대칭성 구조 때문에, 다양한 orbital symmetry를 가지는 Bloch states can couple with evanescent states in AlO and therefore have finite tunneling probabilities. 이러한 터널링 과정은 can be regarded as incoherent tunneling through an amorphous barrier. bcc(0 0 1)구조를 가지는 Fe- 혹은 Co- 기반의 강자성체 금속과 합금에서는, $ \Delta_{1} $ symmetry (spd hybridized states)의 Bloch states는 보통 $E_{F} $에서 full spin polarization $(P=+1)$ 을 갖는다. 반면에, $ \Delta_{5} $, $ \Delta_{2} $ symmetry (d states)는 보통 $E_{F}$에서 더 적거나 심지어 음의 spin polarization을 갖는다. 다양한 spin polarization을 갖는 Bloch states가 tunneling current에 기여하기 때문에, 강자성체 electrode의 tunneling spin polarization는 보통 3d ferromagnetic metal과 alloy의 경우 0.6이하로 감한다. 이로 인한 상온에서의 MR ratio는 70%이하로 감소하는 결과를 나타낸다.(저온에서는 100%정도 밑으로 내려간다.) Fig. 2.19b와 같이 fully spin-polarized $ \Delta_{1} $ states만이 barrier를 coherently tunneling 할 경우, 매우 높은 spin polarization을 갖는 tunneling current를 갖고 결국 매우 높은 MR ratio가 예상된다. 이러한 이상적인 coherent tunneling은 이론적으로 crystalline MgO(0 0 1) tunnel barrier를 가지는 epixatial Fe/MgO/Fe MTJ에서 예상된다. 이때 $ \Delta_{1} $ Bloch states는 bcc Fe(0 0 1)뿐만 아니라 다른 bcc ferromagnetic metal과 alloy that are based on Fe and Co(예를 들어 bcc Fe-Co, bcc CoFeB, 그리고 몇몇의 Heusler alloys의 경우) 에서도 매우 높은 spin-polarized를 갖는 점을 알아둔다. First-principles calculation에 따르면, Co(0 0 1)/MgO(0 0 1)/Co(0 0 1) MTJ의 TMR은 Fe(0 0 1)/MgO(0 0 1)/Fe(0 0 1) MTJ의 TMR보다 더 높은 값을 가진다. 매우 큰 TMR은 Fe, Co등의 bcc(0 0 1) 구조를 기반으로 하는 3d 강자성체 합금 전극 MTJ의 특징이기도 하다. 이 매우 높은 TMR은 이론적으로 MgO(0 0 1) 배리어 뿐만 아니라 ZnSe(0 0 1), SrTiO3(0 0 1)과 같은 crystalline tunnel barrier에서도 높은 값을 가질 것으로 예상되어진다. 하지만, 이렇게 높은 TMR은 아직 위의 언급된 배리어에서 구해지지 않았는데, 이는 높은 품질의 MTJ(barrier에 pinhole등이 없거나 interface에서 interdiffusion이 없는 등의)를 제작하는 실험적 어려움에서 비롯된다. Fe/MgO/Fe MTJ에서 매우 높은 TMR이 이론적으로 예상된 이후로, fully epitaxial Fe(0 0 1)/MgO(0 0 1)/Fe(0 0 1)를 만들기 위한 다양한 실험이 뒤따랐다. Bowen 연구팀은 Fe(0 0 1)/MgO(0 0 1)/Fe(0 0 1) MTJ(상온에서는 30%, 30K에서는 60%)에서 상대적으로 높은 MR ratio를 구했지만, 상온에서의 MR은 AlO기반의 MTJ에서 구한 70%를 넘지 못했다. 2004년, Yuasa 연구팀은 높은 품질의 fully epitaxial Fe(0 0 1)/MgO(0 0 1)/Fe(0 0 1) MTJ를 만들었는데, 이때 single-crystal MgO(0 0 1)을 만드는데 성공시켰다 by using molecular beam epitaxial(MBE) growth under an ultrahigh vacuum 그리고 AlO 기반의 MTJ가 만든 RT MR ratio보다 상대적으로 높은 것을 가지는 것(Fig. 2.21)을 성공시켰다. 이 epitaxial MTJ에 대한 TEM은 Fig. 2.20에 나와있는데, 이를 보면 MgO(0 0 1)과 Fe(0 0 1)의 single-crystal lattice가 명확히 나와있다.


같은 시기에, Parkin 연구팀은 방향성을 높게 가지는 polycrystalline(or textured) FeCo(0 0 1)/MgO(0 0 1)/FeCo(0 0 1) MTJ를 만들었다. 이때 textured MgO(0 0 1) tunnel barrier는 SiO2 기판에 sputtering deposition을 통해 증착되었다. A tantalum nitrate seed layer was used to orient the entire MTJ stack in the (0 0 1) plane and obtained a gian MR ratio of up to 220% at RT (Fig 2.21). 이는 상온에서 AlO 기반의 MTJ보다 더 높은 MR ratio를 얻은 첫번째 케이스였다. Fully epitaxial MTJ와 textured MTJ는 microscopic 관점에서 볼 경우, 만약 structural defects such as grain boundaries do not strongly influence the unneling properties 하다면, 기본적으로 같다. 그러므로 epitaxial과 textured MTJ에서 giant MR ratio는 같은 메커니즘에러 유래한 것으로 고려되고 있다. 상온에서 400%보다 높은 MR ratio 또한 FeCo와 bcc Co 전극을 이용하여 얻어졌다.
2.3.3.2. CoFeB/MgO/CoFeB MTJ with a (0 0 1) - Textured MgO Barrier for Device Applications
위에서 설명했듯이, single-crystal MgO(0 0 1) barrier, 혹은 polycrstalline MgO(0 0 1)을 이용한 textured MTJ는 상온에서 높은 TMR을 보여준다. 비록 이 높은 TMR이 STT-MRAM과 같은 device application에서 attractive property이긴 하지만, 이러한 MTJ 구조들은 실제 practical devices에서는 적용되지 못한다. 이는 crystal growth와 관련된 문제 때문이다. 섹션 2.1에서 설명했듯이, MTJs for practical applications need to have t he stacking structure shown in Fig .2.2. Ir-Mn, 혹은 Pt-Mn이 antiferromagnetic layer로서 사용되고, Co-Fe/Ru/Co-Fe trilayer가 exchange bias를 얻기 위한 SAF구조로서 사용된다. 이때 얻는 exchange bias는 상업용 device에 사용될 정도로 충분히 강하다. 이러한 reliable AF/SAF structure 타입은 (1 1 1)방향성을 갖는 fcc structure를 기반으로 한다. 이 structure의 근본적인 문제점은 NaCl-type MgO(0 0 1) tunnel barrier, 그리고 bcc(0 0 1) ferromagnetic electrode이다. 이 두 전극 모두 fourfold in-plane crystallograpgic symmetry를 갖고 있는데, cannot be grown on the fcc(1 1 1)-oriented AF/SAF structure, which has threefold in-plane crystallographic symmetry, because of the lattice mismatch.

새로운 pinned layer structure 이 문제를 해결할 수 있었다.
2.3.3.3. Device Applications of MgO-Based MTJs
자기저항과 이를 이용한 device application에 ㅐㄷ한 간단한 역사는 아래 Fig. 2.23.에 요약되어 있다.

GMR spin-valve 장치는 상온에서 5~15%의 MR ratio를 가지며 HDD의 read head로서 사용되어져 왔다. AlO-기반의 MTJ는 상온에서 20~70%의 MR ratio를 가지며 HDD read head뿐만 아니라 MRAC의 cell에도 사용되고 있다.
MgO기반의 MTJ는 상온에서 150~600%의 MR ratio를 가지며 HDD read head, STT-MRAM cell, 그리고 각종 다양한 microwave devices에 사용될 것으로 기대되고 있다.
이 application에 대한 최근의 간단한 설명을 시작하고자 한다.
(i) Read Heads of High-Density HDDs
amorphous AlO혹은 TiO 배리어를 사용한 MTJ는 HDD의 TMR read head with areal recording densities of $ 100-150Gbit/in^{2} $ since 2004 에 사용되어 왔다. 이 MTJ의 경우 상온에서 20~30%대의 MR ratio를 가지며 낮은 RA products (about $3\Omega \mu m^{2}$)를 가진다. 비록 이러한 특성들은 100-150Gbit/$in^{2}$의 recording density에는 충분하지만, 200Gbit/$in^{2}$의 recording density를 위해서는 더 낮은 RA products와 더 높은 MR ratio가 필요하다.
ultralow-resistance를 가지는 CoFeB/MgO/CoFeB MTJ는 사용함으로써, 2007년 HDD회사는 ultrahigh-density HDD를 위한 TMR read head를 상용화 시킬 수 있었다. 예를 들어 Fujitsu Corp의 경우 ultrahigh-density HDD의 TMR read head를 2007년 상용화 하였다. MgO-TMR heads는 현재 HDD read hea의 주류 기술로 대표되어지고, $1~2Tbit/in^{2}$까지의 recording density까지 적용될 것으로 기대 된다.
(ii) Spin-Transfer Torque MRAM
MgO 기반의 MTJ에서의 Giant TMR효과는 STT-MRAM 개발에 매우 유용하다. 2005년, Sony는 CoFeB/MgO/CoFeB기반의 in-plane 자화를 가지는 MTJ를 이용한 4-kbit의 프로토타입 STT-MRAM을 개발했고(Fig. 2.25), 믿을 만한 write, read operation을 시연했다.

하지만 in-plane자화를 가지는 MTJ의 경우, lateral size의 크기가 50nm이하로 갈 때 높은 thermal stability(10년 이상 동안 데이터를 유지할 수 있어야 함)를 얻는것이 매우 힘들었다 which is a typical cell size in gigabit-scale STT-MRAM.
Gigabit-scale의 STT-MRAM을 얻기위해서 얻어진 solutionㅇ은 수직 자화의 electrode를 가지는 MTJ를 사용하는 것이다. pependicular MTJ는 이론적으로 50nm-size의 MTJ cell에서도 높은 thermal stability를 가지는 것과, small wite current density by using perpendicularly magnetizaed electrodes with a high perpendicular magnetic anisotropy, $K_{u}$ 가 동시에 가능하다.
2008년부터 도시바와 AIST는 30-50nm 사이즈의 perpendicular 자화를 가지는 MgO 기반 MTJ를 이용한 STT-MRAM의 프로토 타입을 개발했다(Fig. 2.26). Perpendicularly magnetized MgO-based MTJ는 현재 기가비트 스케일의 STT-MRAM에 도달하기 위한 주류 기술로 사용되고 있다.

Magnetic tunnel junction(MTJ)은 두개의 강자성체 metal 레이어가 매우 얇은 절연체 레이어를 샌드위칭하는 형태로 구성되어 있다. MRAM memory cell 한개는 Fig. 2.1.(a)와 같이 MTJ와 CMOS pass transistor로 이루어져 있다.

MRAM, 그리고 자기센서에 사용되는 MTJ의 layer stacking structure는 대부분 Fig.2.2를 따른다.
이러한 MTJ에서, 한쪽 자성체 전극의 자화는 외부자기장이나 상대적으로 큰 전류가 MTJ를 통과함에 따라 반전 될 수 있다. 이러한 레이어를 "free layer", 혹은 "storage layer"라 부른다. 이 free layer는 반드시 "Uniaxial Magnetic Anisotropy"를 가지고 있어야 하는데, 예로 들면 Shape Magnetic Anisotropy, Magnetocrystalline Anisotropy등이 대표적이다. 이 이방성은 자화를 자화용이축(Easy axis)이라 불리는 특정 방향으로 향하게 만드는 경향이 있다. 이 일축자기이방성 덕분에 Free Layer는 1비트에 해당하는 정보를 자화의 방향을 통해 저장할 수 있다. 반대편의 강자성체 전극의 자화방향은 고정되어 있는데, 이러한 레이어를 "Reference Layer", 혹은 "Pinned Layer"라 부른다. 대부분의 reference layer는 FM/NM/FM trilayer로 구성되어있다. 여기서 NM은 비자성체 spacer이다. 두개의 FM layer는 서로 반평행한 자화방향을 갖는데, 이러한 구조를 Synthetic Antiferromagnetic Ftructure라 부른다.
SAF 구조는 reference layer 자화의 pinning을 강화 시켜주고, SAF구조가 storage layer에 끼치는 stray field를 감소시킨다. 그리고 SAF구조의 Pinned layer의 자화방향은 Bottom layer(반강자성체)가 가하는 Exchange Bias에 의해 고정된다. 이 구조들과 이에 의해 자성 특성에 끼치는 영향들은 2.2절에서 자세히 설명할 예정이다.

위의 Stacking structrure로 구성된 MTJ의 Magnetotransport response는 Fig2.3과 같이 설명되어진다. Reference layer의 자화는 한 방향으로 고정 되어있는 반면에, free layer의 자화는 외부자기장이나 MTJ에 충분한 전류가 흐름에 따라 반전될 수 있다.
Free layer가 일축 자기 이방성을 가지고 있을때, 자화의 반전 프로세스는 Fig2.3과 같이 hysteresis loop로 특정되어 진다. 그러므로, bistable states (parallel and antiparallel magnetic alignments) 가 외부자기장, 혹은 전류가 없는 상태에서 만들어 질 수 있다. 전류, 혹은 외부자기장을 가함으로써 FL과 Reference Layer 의 상대적인 자화 방향을 통해 0또는 1의 정보를 MTJ에 입력할 수 있다.
MTJ cell의 저항은 TMR효과에 의한 자화의 상대적인 정렬(평행, 혹은 반평행)에 따라 좌우된다. 그러므로, 우리는 MTJ에 unipolar sense current를 흘리고 MTJ의 저항값을 측정함으로써 비트 정보를 읽을 수 있다.

2.2절에서는, 자성 물질과 실제 MTJ를 위한 기본적인 특성에 대한 개념을 설명한다 또한 ferromagnets, antiferromagnets, magnetic anisotropy, exchange bias, interlayer exchange coupling(IEC), and SAF structure에 대해서도 설명할 예정이다. 2.3절에서는 GMR소자의 magnetotransport 특성과 AlO, 혹은 MgO를 터널배리어로 하는 MTJ에 대해 설명한다.
For larger aspect ratio, the magnetization siwthicng no longer occurs via a coherent rotation of the magnetization (i.e., as a a whole magnetic block) but proceeds via nucleation of a reversed domain and propagation of domain wall.

4. Physics in Magnetic Tunnel Junction
Starts from Simmon's model : Electron tunneling through a potential barrier of arbitrary shape.

The net flow: $J_{1 \rightarrow 2 } - J_{2 \rightarrow 1 } $
Where J is Richardson coefficient




만약 barrier thickness가 얇다면 transmission이 빠르다.
두께의 parameter
1. Barrier thickness
2. Barreir height
Spin dependent tunneling in MTJ
1. Julliere's model
spin flip X
major -> major
minor -> minor
3개의 가정이 들어감
Tunnel conductance $\alpha$ DOS of 각 spin

Polarization $ P_{_1} $는 아래와 같이 정의 된다.

Then we define TMR as below

But majority of reasearchers prefer

Spin dependent tunneling: conductance from all 3d
Stern: tunneling from 4s, 4p (dispersive) (because of sp 밴드의 effective mass 작음)


만약 tunneling barrier가 매우 얇다면 d-electron도 tunneling에 참여하여 TMR이 음수가 나올 수도 있다.
Slonczewski's model
What is the role of barrier?

where $\kappa$ is the barrier height, 아래와 같애 나타낼 수 있다.

AlOx + plasma oxidation = quality 좋은 AlO
Epitaxial layer? 다음수업
Exchange bias는 단어 그대로 exchange interaction에 의해 일어나는 편향효과를 뜻하는 것으로, 아래 그림처럼 hysteresis loop의 평행이동을 야기한다.

이 Exchange bias는 Meiklejohn과 Bean에 의해 처음 발견됐는데, Co molecule을 공기환경에 놔두면 자연산화가 발생하며 CoO (= AFM)를 생성한다. 이 상태에서 field를 건 상태에서 77K로 cooling을 하게되면, Co와 표면의 CoO끼리의 교환상호작용이 발생하여 아래의 그림처럼 uniaxial like 해진다.
해당 논문은 MgO기반의 높은 TMR을 가지는 MTJ nanopillar geometry devices에서 발생하는 spin torque 효과의 근본적인 이해에 포커스를 맞추고 있다.
이를 성공적으로 수행하기 위해서는 높은 TMR과 낮은 RA product를 가지는 소자를 repeatable하게 제작 할 수 있어야 한다. 현재 우리 팀에서는 100% 이상의 TMR과 10$\Ohm/\mu m^{2}$ 이하의 RA product를 가지는 소자를 제작하는데 성공했다.
이에 더해, nanopillar two-termina 구조 공정의 속도를 높이기 위해, nanopillar lift-offp rocess를 개선시켜 1주 이내에 소자가 나오게끔 만들었다.
이 논문에서는 asymmetric MgO-based MTJ에서 발생하는 spin-torque effect가 electrode, 혹은 electrode/barrier interface에 상당한 영향을 받는다는 것을 보였다.
- Asymmetric MTJ: bottom과 top electrode가 서로 다른 강자성체 물질임.
- Symmetric MTJ: bottom과 top electrode가 서로 같은 강자성체 물질임
....
첫번째로, tunneling conductance는 electrode의 spin polarization 뿐만 아니라 electrode의 Bloch states의 symmetry와 tunneling barrer의 evanescnet states에도 도 영향을 받는다는 것이다.
두번째는, Bloch states의 서로 다른 symmetry들은 서로 다른 decay rate를 가지는데 이때 이 rate는 barrier의 energy bands에 영향을 받는다.


위의 Fig 2.4.를 보면 $ \Delta_{1}$(spd) symmetry가 가장 낮은 decay rate를 보임을 알 수 있으며, 이를 통해 $ \Delta_{1}$(spd) symmetry를 가지는 전자가 쉽게 barrier를 tunneling하여 반대편의 Fe electrode와 커플링을 할 수 있다. 이 현상은 spin-filtering effect라 불리는데, 오직 특정 전자만이 MgO barrier를 터널링 할 수 있기 때문이다.
.....
2.3. Spin-transfer Torques in the Magnetic Tunnel Junctions
상온에서의 높은 TMR을 가지는 MTJ의 발견에 더해, 또 다른 중요한 발견중 하나는 spin-transfer torque이며, 이는 MR의 reverse effect이다. 1990년대에 spin-torque 효과의 예측과 발견 이후로, 많은 연구가 fundamental physics와 engineering 관점에서 진행되어 왔다. 1996년, Slonczewski와 Berer는 spin-polarized elecgtron current가 ferromagnetic layer에 angular momentum을 전달하여 spin-transfer-torque switching을 유발할 수 있음을 예언했다. 곧, MTJ에서의 spin-torque effects의 근본적 이해에 대한 여러 연구들이 진행됐다.
2.4. Application of Spin-transfer Torque Effect in the Magnetic Tunnel Junctions
...

4. Nano-pillar Fabrication
MTJ의 nanopillar geometry는 매우 중요한 device structure이다. 왜냐하면 이 소자 모양은 강자성체 레이어 사이의 근본적인 전기적 상호작용을 검증하게 해 줄뿐만 아니라, cross-point architecture를 가능케 함으로써 고밀도의 RAM 어플리케이션에 강점으로 작용하기 때문이다. 그러므로 다층자성박막을 nanopillar geometry로 제작하는 것은 spin-torque effect를 학습하는데 있어서 중요한 실험적 스킬이다.
하지만 Nanopillar fabrication은 간단하지 않다. Carbon-based hard nanomask 공법은 모든 공정을 완료하는데 약 6-8주가량이 소요되게끔한다. 더 빠르고 믿을 수 있는 nanopillar fabrication은 그러므로 엔지니어링적으로 도전적이고 spin torque physics의 이해를 더욱 향상시키기 위해서 극복해야 하는 것이다.
4.2. Produce Lift-Off HSQ/PMMA NanoMasks
우리 그룹에서는 nanopillar fabrication 공정을 단순화 시키고자 하는 여러 시도가 있었다. 하지만 기존의 carbon-based nanopillar fabrication 방법으로 100nm 이하 사이즈의 nanopillar를 만드는 것은 힘든 작업임이 분명하다. Emley[20]는 HSQ를 lift-off 과정에서 PMMA와 Cr를 대신하여 사용함으로써 HSQ를 매우 작은 nanopillar의 마스크로 사용하는데 청신호를 열었다. Braganca와 Liu[7]는 CMP공법을 이용하여 self-aligned top leads를 만들었는데, reliable한 process를 만드는데는 성공하지 못했다. Luqiao는 두꺼운 HSQ를 etching mask (with a releasing layer)로 사용함으로써 nanopillarr devies에 있어서 좋은 yield를 얻었다. Luqiao는 lift-off naopillar fabrication 공정의 가능성을 열었다고 할수 있다.

알다시피, EBL공정된 패턴의 크기는 이론적으로 e-beam resist의 두께에 비례한다. Luqiao의 접근법(두꺼운 HSQ layer(~250nm)를 사용한 것)에서는 milling mask, lift-off mask로 사용된 두꺼운 HSQ가 작은 직경을 가지는 nanopillar의 형성을 어렵게 했다. 이 문제점을 해결하기 위해서, 저자는 얇은 HSQ와 두꺼운 PMMA를 사용함으로써 약간 다른 방법으로 접근했다.

4.2.1. HSQ nanipillar Fabrication Process
nanopillar fabrication 공정에 있어서 두가지 접근법이 존재한다. 하나는 Carbon nanomask를 이용한 것이고 다른 하나는 HSQ를 이용한 것이다. 100nm보다 더 작은 사이즈의 패턴에 도달하기 위해서는, e-beam resist recipe는 반드시 얇은 레이어들을 필요한다. 하지만 이 접근법은 smaller features와 IBE 저항성 사이에 trade-off를 가지고 있다. 이 모순을 해결하기 위해 여러개의 resist의 투입이 필요하다. 이 논문에서 저자는 위에 언급된 trade-off를 얇은 HSQ(80nm)와 두꺼운 PMMA(170nm)로 해결했다. 논문[91]에서 HSQ/PMMA bilayer는 80nm Cr을 제거하는데 좋은 lift-off reists로 작동했다. Yang 연구팀은 물론 HSQ/PMMA bilayer를 lift-off전에 IBE etching mask로서 사용하지는 않았다.
이 IBE과정 이후, 저자는 두꺼운 PMMA가 떨어져나가기 매우 어려워 진다는 점을 발견했고, 이는 매우 어려운 문제였다. 이 문제를 해결하기 위해서 공정을 디버깅하면서 새로운 접근법을 찾아냈다. 다음 섹션을 통해, 저자는 HSQ/PMMA lift-off process를 더 자세히 설명하고자 한다.
4.2.2. Electron-Beam Lithograph Pattern Design
비록 EBL design은 EBL의 첫번째 단계이긴 하지만, nanopillar fabrication에 있어서 매우 중요한 단계이기도 하다. 왜냐하면 모든 fabrication 공정의 이해를 요구하기 때문이다. 여기에는
- E-Beam resists의 특성
- E-Beam 장비의 이해
- Fracturing Software의 이해
- Plasma Etching의 이해
- Ion Milling 의 이해
등을 요구하기 때문이다. 특히 CAD 디자인은 E-Beam tools를 모두 이해한 상태에서 제작하는 것을 요구하며 pattern size, writing time, field stiching resolution, electron proximity effect등의 이해를 요구한다. "좋은" E-beam pattern을 디자인 하는 것은 모든 fabrication steps을 고려해야 하며 이 과정을 통해서 성공적이고 재현 가능한 EBL 공정이 가능하다.
주요 파라미터중 하나는 HSQ nanomask의 aspect ratio이다. 높은 aspect ratio를 얻기 위해서는, e-beam exposure의 정확한 control을 요구로 한다. The new converting software in CNF, Layout BEAMER, enables the precise control of enery exposure and stepping field in a graphical way. In order to produce high aspect ratio nanopillars, we will need to achieve high aspect-ratio of HSQ nanomask.
4.2.3. E-beam Resist Preparation for HSQ/PMMA Lift-off Nanopillar Fabrication Process
HSQ/PMMA lift-off nanomask에 thermal treatments 를 할 경우 lift-off yield가 심각하게 영향을 받는다. 그러므로 다음의 레시피를 면밀하게 따르는 것이 중요하다. 저자는 E-beam resists의 특성을 설명할 것이고 HSQ/PMMA lift-off nanopillar 과정의 레시피에 대해서 설명할 것이다. 저자는 PMMA와 HSQ에 가해지는 thermal annealing 시간을 줄이는 것이 lift-off yield를 증가시키고 sonication time을 줄이는데 효과적이라는 것을 찾아냈다. 일반적으로, PMMA는 E-beam exposure 전에 solvent를 확실하게 날려버리기 위해 170도 온도에서 15분 정도 bakign된다. 이 annealing recipe는 PMMA를 E-beam resist로 쓰고 E-Beam에 PMMA를 활성화 시키기 위한 것이다. 하지만 이 긴 시간동안의 baking을 통해, PMMA는 residue를 남기지 않고 완전히 제거되기가 어려워진다.
일반적으로, PMMA는 under-cut profile을 가지는 bilayer의 E-beam lift off resis로서 사용될때 깨끗하게 없어진다. Because large-area of PMMA extends through the whole wafer, lift-off of PMMA could be cery clear without residues. 우리의 공정에서는, HSQ만이 E-Beam resist사용되며 PMMA에 패턴이 전달되는 것은 oxygen plsma를 통해서다. 또한 매우 작은 크기의 PMMA만이 남을 뿐이다. 이 조건에서, PMMA는 매우 거친 방법의 lift-off 절차 없이는 깨끗하게 없어지기 힘들다.
4.2.4. HSQ/PMMA Nanomasks
저자는 HSQ/PMMA bilayer를 사용했을때 얻어질 수 있는 가장 작은 패턴의 한계를 찾고자 했으며, 이 결과를 통해 HSQ/PMMA 나노마스크는 aspect ratio를 최소 1:3 (40nmx140nm)으로 가질 수 있음을 보였다. 여기서 6% HSQ 뿐만 아니라 2% HSQ도 시도했는데, 6%보다 더 낮은 lift-off yield를 얻을 수 있었다. (-> Not applicable for the lift-off nanopillar process)
4.3. Pattern into Nanopillars: Ion-milling and Lift-off Oxide
4.3.1. Ion Milling
Ion-milling, oxide lift-off는 frabrication에 있어서 매우 중요한 과정이다. 이는 이 스탭들이 fabrication 공정에 있어서 되돌릴 수 없는 과정들이기 때문이다. 만약 한개의 잘못된 parameters가 이 과정에서 사용될 경우, wafer 전체를 폐기해야 할 것이다. 자세한 파라미터들은 Table 4.2.에 요약 해놓았다. 이 섹션에서는, 높은 TMR MgO MTJ fabrication과 관련된 여러 중요한 레퍼런스들러 부터 얻은 실험과 결과들을 설명하려 한다.

첫번째 이슈는 sidewall re-deposition이다. Sidewall re-deposition은 IBE를 이용한 spin-torque experiment에서 잘 알려진 이슈이기도 하다. Oztay 연구팀[60]은 Py/Cu/Py 스핀밸브 nanopillardptj sidewall re-deposited oxide가 field-driven, spin-torque-driven switching에 모두 영향을 끼치는 것을 보였다. MTJ에서의 sidewall re-deposition은 tunnel barrier를 shorting 시킬 수도 있으며 TMR을 낮출 수도 있다. 이 주제에 대해 상세한 레시피를 만들거나 이슈를 제기한 연구자는 거의 없으며, 나지막하게 언급할 뿐 낮은 RA와 높은 TMR을 가지는 MTJ fabrication 공정만 남겨놨을 뿐이다.
Cornell에서 처음 제작한 몇개의 첫 MTJ는 annealed wafer에서도 20%의 낮은 TMR을 보였다. 이러한 낮은 TMR을 가지는 소자들은 느리게 전류를 높임으로써 100%까지 도달 할 수 있었는데, 이는 MTJ가 shorting 됐다는 의미이다. 그러므로 Sidewall re-deposition을 방지하는 것은 좋은 성능의 MgO MTJ를 제작하는데 필요한 해결절차였다.
이 주제를 다루기 이전에, sidewall shorting에 대해서 조금 더 설명하고자 한다.


Figure 4.7은 sidewall-redeposition의 profile에 대해서 보여준다. Ion-milling 과정중에, Ar 이온들이 wafer를 향해 돌진하는 중에, sputterted-out 물질들은 pillar structure 뿐만 아니라 photoresist의 sidewall에도 붙을 수 있다. pillar structure가 매우 얇은 tunnel barrier를 가지고 있으므로, 매우 작은 두께(~1nm)의 물질이 sidewall에 re-deposition되도 심각한 shorting problems를 야기할 수 있다. 왜냐하면 tunnel barrier역시 1nm 정도의 두께를 가지기 때문이다. 그러므로, 높은 RA MTJ보다 낮은 RA MTJ에서 더욱 sidewall shorting은 심각한 문제이다.
기본적으로, 이 sidewall shorting 문제를 피하기 위해서 두가지 전략이 존재한다. 첫번째는 sidewall re-deposition을 처음부터 원천차단하는 것이다. 이를 위해서 ion-beam milling을 tunnel barrier 중간에서 멈출 수 있으며 매우 짧은 sidewall cleaning을 high angle에서 수행 한다. 매우 얇은 터널 배리어 중간에서 ion milling을 중단하는 것은 EPD없이는 불가능하다고 볼 수 있다. 이 방법을 통해 발견한 것은, micro junction의 경우 200% 이상의 높은 TMR을 얻을 수 있다는 것이다. IrMn 혹은 더 아래의 buffer layer까지 etching을 하게되면, TMR은 매우 급격하게 감소하기 시작한다. Figure 4.9는 ion-milling중의 SIMS 그래프를 보여준다.

저자의 경우 보통 MgO에서 아래 CoFeB layer로 transition이 발생할 때 멈췄다. 이 transition time은 보통 1~2분 정도가 소요된다. ㄷ또한 side milling 역시 TMR performance에 도움을 주는 것역시 알아두는게 좋다. 하지만 Katine 연구팀[34]는 긴 시간의 side-milling은 edge damage를 유발하여 스핀밸브 센서의 GMR 성능을 감소시킨다는 것을 발견하기도 했다.
최근에는 Peng 연구팀[62]는 어떻게 ion-beam milling recipe가 TMR에 영향을 끼치고 sidewall shorting problem을 해결하는지 보였다. 우리도 같은 결과를 얻었다. 대신에, tunnel barrier 중간에서 IBE를 멈추는 것이 더 낫고 믿을만한 방법이라는 것이 우리의 결론이다.
4.3.2. Lift-off Oxide
선명한 패턴과 높은 lift-off yield를 얻기 위해서는, under-cut E-beam resist profile이 필요하다, 특히 저자의 경우 처럼 IBE etching mask와 lift-off 마스크를 동시에 수행하는 nanomask lift-off process의 경우는 더욱 그렇다.
HSQ와 PMMA사이의 성질이 화학적으로 다르기 때문에, HSQ는 PMMA에게 완벽한 oxygen plasma etching mask로서 역할 한다. PMMA는 oxygen plasma로 깨끗이 지워질 수 있다. 이때 under-cut profile은 oxygen plasma에서 overetching을 통해 얻어질 수 있다.
Nanopillar를 보호하기 위해 oxide를 성장시키는데는 여러 방법이 존재한다. 여기서, 저자는 sputtering, PECVD대신에 evaporation 방법을 통해 SiOx를 성장시킨다. 낮은 압력과 긴 mean free path는 sidewall을 코팅하지 않으며 (conformal 하지 않음), under-cut profile을 통해 발생하는 shadowing effect를 십분 활용할 수 있다.
Evaporation을 통해 증착된 SiOx는 sidewall에 충분한 고립감을 줌과 동시에 lift-off의 난이도를 어렵게 하지 않는다. PECVD혹은 Sputtering을 통해 증착된 oxide는 sidewall을 매우 철저하게 코팅시켜 lift-off과정을 매우 어렵게 한다. In that situation, growing oxide for the lift-off nanopillar process is rather complicated. To make the lift-off process work, we need to grow oxide thick enough to protect nanopillars from ambient atmosphere. At the same time, we need the oxide thing enough for high-yield lfit-off process. A typical suggestion is the oxide need to be three time thic than the nanopillar. To have high lift-off yield, the nanomask also needs to be at least three time thicker that the lift-off materials.
매우 흥미로운 점은, E-beam exposure dose가 lift-off yield에 CAD의 사이즈 보다 더 영향을 끼친다는 점이다. 더 높은 dose를 가지는 패턴들은 사이즈에 상관없이 리프트오프가 더 용이했다.
4.4. Summary of HSQ tri-layer nanomask process

해당 글은 Thermal fluctuations of magnetic nanoparticles: Fifty years after Brown 을 요약,번역 및 정리한 글입니다.
Analytical as well as numerical approaches to the estimation of the damping and temperature
dependence of the reversal time based on Brown’s Fokker-Planck equation for the evolution of the
magnetic moment orientations on the surface of the unit sphere are critically discussed while the
most promising directions for future research are emphasized.
Clearly the main parameter characterizing the thermal stability is the reversal time (superparamagnetic relaxation
time) of the magnetization of the nanoparticles, which is crucially affected by thermal interactions of the particles with
their surrounding heat bath resulting in fluctuations and dissipation, ultimately leading to a complete loss of the stored
information. Thus it is vital for information storage purposes to determine the dependence of the reversal time on the dissipative coupling to the bath at a given temperature. Besides, estimates of that time over wide ranges of temperature and damping are required in numerous other physical applications, e.g., in the determination of linear and nonlinear
dynamic susceptibilities (e.g., Refs. 12–26), the loop shape, coercive force and specific power loss in dynamic magnetic
hysteresis (e.g., Refs. 27–34), the signal-to-noise ratio in stochastic resonance (e.g., Refs. 35–40), the switching field
curves and surfaces at finite temperatures (e.g., Refs. 6 and 41–45), M€ossbauer spectra (e.g., Refs. 46–50), etc.
To prepare the ground for our discussion we must first spend a little time in describing the relaxation process in a single domain particle.
A particle of ferromagnetic material1 below a certain critical size (typically 150A ° in radius) constitutes a single domain
particle meaning1 that it is in a state of uniform magnetization for any applied field.
If we denote the magnetic dipole moment of such a particle by l and ignore the anisotropy energy and if we further suppose that an assembly of them has come to equilibrium at temperature T under the influence of an applied magnetic field H, then we will have, for the mean dipole moment in the direction of the field,

The behavior is exactly analogous to that of noninteracting rigid electric dipoles in the Debye theory of the static electric susceptibility 1 or the Langevin treatment of paramagnetism; the vital difference, however, is that the moment l is not that of a single atom but rather of a single-domain particle of volume v which may be of the order of 104–105 Bohr magnetons, so that extremely large moments and large susceptibilities are involved: hence the term superparamagnetism.
The thermal instability of the magnetization occurs if the thermal energy kT is sufficient to change the orientation of the magnetic moment l of the entire particle. Then the thermal agitation causes continual changes in the orientation of l and, in an ensemble of such particles, maintains a distribution of orientations characteristic of thermal equilibrium.
The thermal instability of the magnetization occurs if the thermal energy kT is sufficient to change the orientation of the magnetic moment � of the entire particle.
Then the thermal agitation causes continual changes in the orientation of l and, in an ensemble of such particles, maintains a distribution of orientations characteristic of thermal equilibrium. Thus the number of particles with orientations of l within solid angle is proportional to the Boltzmann distribution as below.
'MTJ' 카테고리의 다른 글
| Boltzmann Machine (0) | 2023.11.13 |
|---|---|
| Spin-Torque Diode Effect (0) | 2023.09.19 |
| GMR과 TMR의 차이 (0) | 2023.08.03 |
| Zero Bias Anomaly (0) | 2023.06.26 |
| 양자컴퓨터를 기다리시나요? 확률론적 컴퓨팅은 어떠신가요? (4) | 2021.12.12 |
댓글