아래 그림에서의 In-plane ($\tau_{\parallel}$)는 lineshape의 symmetric part에, 그리고 out-of-plane ($\tau_{\perp}$) torque는 lineshape의 anti-symmetric part에 영향을 끼친다.

This allows determination of the torque components by fitting $V_{mix}$ as a function of applied magnetic field to a sum of symmetric and antisymemtric Lorentzians.
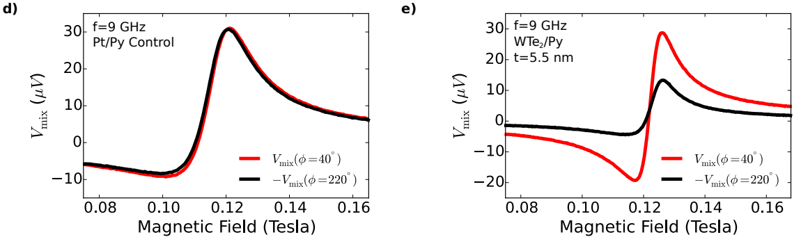
Symmetry가 높은 물질에서는 180도 차이가 나는 graph에 대해서 원점대칭의 경향을 갖는데, low-symmetry 물질에서는 차이가 발생한다. 이는 즉 current-induced torques가 두 경우에 대해서 magnitude, direction 모두 다름을 나타낸다.

This observation is incompatible with two-fold rotational symmetry, indicating that the current-induced torques are affected by the reduced symmetry of the $WTe_2$ surface.
이를 더 확실히 분석하기 위해, 우리는 full angular dependence of the ST-FMR signal을 이용했다. 해당 실험에서는, 외부자기장이 각도를 바꿔가며 작용하며, 이는 물질 속 자화의 방향을 sample plane 내를 유지하면서 계속 변화시키기 위함이다.
일반적인 (높은 대칭성을 가지는) 물질에서는, $\cos \phi$ 의존성을 가지며, 이 신호에 더해 Py의 AMR이 $\cos ^2 \phi$의 신호로서 $V_{mix}$에 $\sin 2\phi$만큼 더 작용한다. 이 두 신호의 곱은 아래와 같은 angular dependence를 만들어낸다.
$V_S = S \cos \phi \sin 2\phi $, $V_A = A \cos \phi \sin 2\phi$

하지만 symmetry가 낮은 물질에서는 상황이 약간 다르다.
위에서 보는 것과 같이, $WTe_2$에서 non-zero symmetric component는 S-O torque가 $WTe_2$/$Py$ bilayer에 존재함을 나타낸다. 이는 symmetric component가 in-plane torque과 연관되며 Oersted field를 통해서는 만들어지지 않기 때문이다.
하지만, 더 주목할 점은 antisymmetric compnent의 angular dependence이다. 일반적인 $\cos \phi \sin 2\phi$ 형태와 매우 다르며, 이 signal amplitude의 변화는 WTe2 surface의 broken symemtry를 반영한다. This result indicates the existence of a source of out-of-plane torque not previously observed in any S-O torque experiment
이 일반적이지 않은 angular dpendence는 $\sin 2 \phi$ 항을 추가함으로서 피팅된다.
$ V_A = A \cos \phi \sin 2 \phi + B \sin 2 \phi$\
이 angular dependence voltage 값 torque로 정량적으로 변환시키기 위해서, 다시금 V와 torque relation을 이용하면,

$\tau_\parallel (\phi) = \tau_S \cos (\phi)$
$\tau_\perp (\phi) = \tau_A \cos (\phi) + \tau_B$
여기서 새로운 term $\tau_B$가 out-of-plane torque에 해당하며, 이는 in-plane magnetization orientation과 무관하다. 또한, 이는 즉 $\m$에 even 한 것이므로 antidamping-like torque이다.
댓글